三、某市政府工務單位欲瞭解其約聘僱人員的工作滿意度分數 Y(分數愈高 滿意度愈高)之影響因素,考慮以下解釋變數:
X1 :工作年資(年)
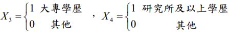
X2 :薪資(千元)
及學歷(分「高中及以下」、「大專」 、「研究所及以上」等三類) ,並定義變數如下:
若蒐集 30 位約聘僱人員的資料,將 Y 對 X1、X2、X3 和X4進行迴歸分析,得到以下迴歸模型的估計:
SST 為總變異平方和(total sum of squares),s 為迴歸誤差之標準差的估計值。回答以下問題:

(五)以顯著水準為 0.05,檢定此迴歸模型之所有解釋變數的係數是否皆等於 0。 (6 分)