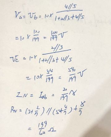
一、試求下圖電路由 a、b 兩點看進去的等效諾頓(Norton)電路。(20 分)
詳解 (共 2 筆)
詳解
I= 20/199
R=199/62
詳解
