阿摩線上測驗
登入
首頁
>
【段考】高一數學
>
97年 - 97下1高一數學 - 臺北市國立師大附中97 下學期高一數學第一次段考(期中考)#55445
>
三. 填充題(每格 5 分,共 55 分)
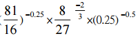
1.求(
= __________ (1)
其他申論題
2.求 = __________ (2)
#208604
3.不等式的解為 __________ (3)
#208605
4.設 = __________ (4)
#208606
【已刪除】5.方程式的解 x= __________ (5)
#208607
6.已知 4,試比較 a 、b、c、d、e 的大小 __________ (6)
#208608
7.坐標平面上,直線 x+y=6 與 y=2x 、y=log2 x 的圖形分別交於 A(x1 , y1 )、B(x2 , y2 )兩點,則 x1+ y1+x2 + x2 = __________ (7)
#208609
8.設 ≤x 1 ≤ 0,函數 y=x1-log x 的最大值為 a ,最小值為 b,則數對( a , b )= __________ (8)
#208610
9.若方程式 有兩相異實根,求 m 的範圍 _________ (9)
#208611
10.從冰箱拿出一盆攝氏 0 °C 的水,若在室溫 25° C 的環境下,其 t 分鐘後的水溫經測量為攝氏 , 但溫度計的顯示會自動把整數以下的部份四捨五入,則取出冰箱 __________ (10)分鐘後(取整數),溫度計才會顯示水溫為25° C
#208612
11.設 為正整數 a ,已知滿足 20≤k≤29 的整數 k,均使得 ak 為(2k+3)位的數字,請利用後面的對數表求出 =__________ (11)
#208613