阿摩線上測驗 登入

申論題資訊

試卷:114年 - 114 國家安全情報特種考試_三等_電子組(選試英文):工程數學#127780
科目:工程數學(應用數學, 線性代數、微分方程、複變函數與機率)
年份:114年
排序:0

申論題內容

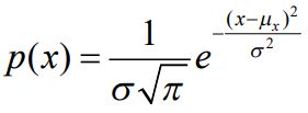
五、X 為一隨機變數(Random variable),其機率密度函數(probability density function)為,σ>0,-∞<x<∞。試求其期
望值(Expected value), E{ X2 + 4X + 2} 。