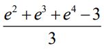
16 考慮原始函數 f ( x) =3x+2 ,及其衍生之傅立葉級數(Fourier series)函數
f1 (x) = f (x) 在 x ε [0, 1] 區間之傅立葉級數(Fourier series)
f2 (x) = f (x) 在 x ε [0, 1] 區間之傅立葉正弦級數(Fourier sine series)
f3 (x) = f (x) 在 x ε [0, 1] 區間之傅立葉餘弦級數(Fourier cosine series) (A) f1(0)=f2(0) (B)f1(0)=f3(0) (C) f1(1)=f2(0) (D)f1(0.5)=f3(0.5)