沒有 【段考】高一數學上學期 權限,請先開通.
詳解 (共 1 筆)
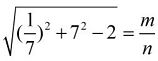
詳解

√ [(1+74-2x72) / 72 ]
= √ ([(72-1)]2 / 72)
=48/7
=m/n
m+n= 48+7=55