沒有 【段考】高一數學上學期 權限,請先開通.
詳解 (共 2 筆)
詳解
算式
詳解
1
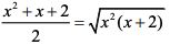
說明: 觀察到算術平均值與幾何平均值相等

設x2=a ,x+2=b
(a+b)/2=√a(b),則(a+b)=2√ab,a+b-2√ab=0,(a-b)2=0, a-b=0
x2-(x+2)=0
x2-x-2=0
(x-2)(x+1)=0
x=2 or -1
2+(-1)=1