題組內容
第三題:
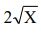
假設李先生對食物(X)與衣服(Y)商品的效用函數為 TU = U(X , Y) =
+ Y,X 與 Y 商品價格為分別為 PX=1 、PY= 2 及所得為 I=50。
(一)求效用極大 X 與 Y 商品的需求數量及效用水準。【8 分】
第三題:
假設李先生對食物(X)與衣服(Y)商品的效用函數為 TU = U(X , Y) =
+ Y,X 與 Y 商品價格為分別為 PX=1 、PY= 2 及所得為 I=50。
(一)求效用極大 X 與 Y 商品的需求數量及效用水準。【8 分】