阿摩線上測驗
登入
首頁
>
通信系統
>
108年 - 108 普考 通信系統概要#77551
> 申論題
題組內容
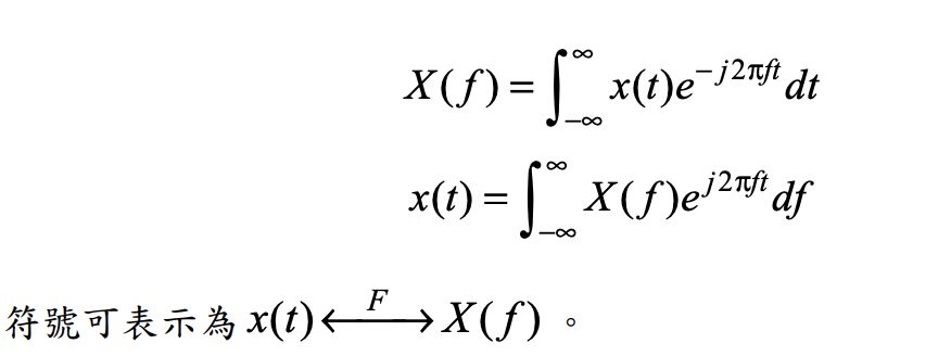
一、非週期性類比信號 x(t ) 之傅立葉轉換 X ( f ) 及相對之反向轉換為
⑴證明雷利能量定理(Rayleigh’s energy theorem):
(10 分)
相關申論題
⑵
#314461
#314462
⑴求 x(t ) 、 y1 (t ) 、 y2 (t ) 、 y3 (t ) 及 y4 (t ) 之頻譜表示式。(10 分)
#314463
⑵繪製各信號之頻譜圖。(5 分)
#314464
⑶求各信號之頻寬。 (5 分)
#314465
⑴如輸入之基頻信號為 m (t ) ,對相位調變和頻率調變,其 φφ (t ) 表示式各 為何?(5 分)
#314466
⑵如 分別繪製相位調變波 s p (t ) 及頻率調變波 s f (t ) 。(5 分)
#314467
⑶如現有一個相位調變器,以方塊圖說明如何產生一個頻率調變信號。 (5 分)
#314468
⑷如現有一個頻率調變器,以方塊圖說明如何產生一個相位調變信號。 (5 分)
#314469
⑴求 m (t ) 之傅立葉轉換 M ( f ) 之表示式。(5 分)
#314470
相關試卷
114年 - 114 地方政府公務特種考試_四等_電信工程:通信系統概要#134755
114年 · #134755
114年 - 114 地方政府公務特種考試_三等_電信工程:通信與系統#134723
114年 · #134723
114年 - 114 公務升官等考試_薦任_電信工程:通信與系統#133270
114年 · #133270
114年 - 114 調查特種考試_三等_電子科學組:通信與系統#129592
114年 · #129592
114年 - 114 高等考試_三級_電信工程:通信與系統#128757
114年 · #128757
114年 - 114 普通考試_電信工程:通信系統概要#128733
114年 · #128733
113年 - 113 地方政府公務特種考試_四等_電信工程:通信系統概要#124540
113年 · #124540
113年 - 113 調查特種考試_三等_電子科學組:通信與系統#122111
113年 · #122111
113年 - 113 普通考試_電信工程:通信系統概要#121514
113年 · #121514
113年 - 113 高等考試_三級_電信工程:通信與系統#121501
113年 · #121501