阿摩線上測驗
登入
首頁
>
二、三等◆經濟學(研究)
>
100年 - 100 高等考試-二級:經濟學研究#45342
> 申論題
題組內容
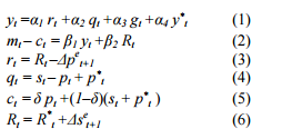
四、下列為一小型開放經濟體系之經濟結構,y為產出,R為名目利率,g為政府支出,p 為物價,s為匯率,m為貨幣供給。變數上標有*號為外國相應之變數,上標有e為預 期變數值,下標t為時間。除利率外,對任何變數x而言,x=lnX ,Δx
t+1
定義為xt+1 – xt。
⑵在短期下,假設本國價格固定及靜態預期若政府採取浮動匯率制度,請問d yt /dp* =? d
yt
/d g
t
=?與傳統Mundell-Fleming model論點比較,答案有什麼不同?並解釋之。 (15 分)
相關申論題
⑴試求最適消費組合(x*, y*)。(5 分)
#152295
⑵請列出最適一階條件,並說明其意義。(10 分)
#152296
⑶一階條件的思維,和一般人生活經驗的連結(異同)如何?說明並舉例。(5 分)
#152297
⑷政府部門間預算分配,是否符合某種一階條件?說明並舉例。(5 分)
#152298
⑴由資訊角度,說明兩者意義並舉例。(5 分)
#152299
⑵由經濟分析角度,解釋這兩種社會現象。(10 分)
#152300
⑶兩者之間有無相關,為什麼?(5 分)
#152301
⑷利用放訊號和貼標籤這兩個概念,闡釋國內選舉活動的相關現象。(5 分)
#152302
⑴解釋兩條方程式的經濟意義,α1、α2、β1、β2的正負號應該如何?(5 分)
#152303
⑵請推導當 σ u = 0 ,政府應該採取控制利率抑或貨幣數量的貨幣政策?(8 分)
#152304
相關試卷
114年 - 114 地方政府公務、離島地區公務特種考試_三等_統計、經建行政:經濟學#134676
114年 · #134676
114年 - 114 公務升官等考試_薦任_僑務行政、財稅行政、商業行政:經濟學#133178
114年 · #133178
114年 - 114 原住民族特種考試_三等_經建行政:經濟學#130964
114年 · #130964
114年 - 114 國際經濟商務特種考試_三等_國際經濟商務人員類科英文組、國際經濟商務人員類科日文組、國際經濟商務人員類科韓文組:經濟學#130954
114年 · #130954
114年 - 114 調查特種考試_三等_財經實務組:經濟學#130183
114年 · #130183
114年 - 114 高等考試_三級_金融保險、統計、經建行政:經濟學#128608
114年 · #128608
114年 - 114 國家安全情報特種考試_三等_政經組(選試英文):經濟學#127787
114年 · #127787
114年 - 114 身心障礙特種考試_三等_經建行政:經濟學#126660
114年 · #126660
114年 - 114 關務特種考試_三等_關稅統計(選試英文):經濟學#126656
114年 · #126656
113年 - 113 地方政府公務、離島地區公務特種考試_三等_統計、經建行政:經濟學#124389
113年 · #124389