阿摩線上測驗 登入

申論題資訊

試卷:102年 - 102年高考二級自動控制學#44084
科目:自動控制學
年份:102年
排序:0

題組內容

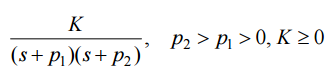
四、已知下列轉移函數

申論題內容

⑵承上題,加入 p2 根,請說明為何根軌跡往右走?(5 分)