阿摩線上測驗
登入
首頁
>
自動控制學
>
104年 - 104年高等一級暨二級自動控制學#41807
> 申論題
申論題
試卷:104年 - 104年高等一級暨二級自動控制學#41807
科目:自動控制學
年份:104年
排序:0
申論題資訊
試卷:
104年 - 104年高等一級暨二級自動控制學#41807
科目:
自動控制學
年份:
104年
排序:
0
題組內容
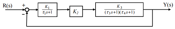
三、下圖為某速度控制系統方塊圖,其中參數τ
1
= 0.5s, τ
3
= 0.1s, τ
4
= 0.25s
申論題內容
⑵當 K 值設為上述範圍最大值的 1/3 時求系統安定時間(settling time)。(15 分)