阿摩線上測驗
登入
首頁
>
自動控制學
>
104年 - 104年高等一級暨二級自動控制學#41807
> 申論題
申論題
試卷:104年 - 104年高等一級暨二級自動控制學#41807
科目:自動控制學
年份:104年
排序:0
申論題資訊
試卷:
104年 - 104年高等一級暨二級自動控制學#41807
科目:
自動控制學
年份:
104年
排序:
0
題組內容
四、
申論題內容
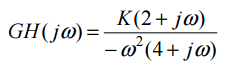
⑵若只知閉迴路系統的環路轉移頻率響應(loop transfer frequency response)需用何 方法,請用此方法分析下列系統之穩定性。(15 分)