阿摩線上測驗
登入
首頁
>
自動控制學
>
104年 - 104年高等一級暨二級自動控制學研究#41698
> 申論題
申論題
試卷:104年 - 104年高等一級暨二級自動控制學研究#41698
科目:自動控制學
年份:104年
排序:0
申論題資訊
試卷:
104年 - 104年高等一級暨二級自動控制學研究#41698
科目:
自動控制學
年份:
104年
排序:
0
題組內容
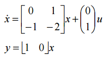
二、某線性系統之狀態方程式為:
申論題內容
⑶將上述控制法則和狀態估測器結合並證明閉迴路系統極點仍為{−2 + j2 , −2 − j2} 。 (10 分)