阿摩線上測驗
登入
首頁
>
公職◆資料結構
>
99年 - 099年高等三級資料結構#46742
> 申論題
題組內容
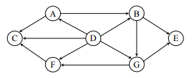
四、一個有向圖形(directed graph),若圖形的任何路徑(path)沒有環路(cycle), 則此圖形可找到拓樸排序(topological sorting),問:
⑶於下圖中找出一種拓樸排序,要寫出產生的過程,最後畫出拓樸排序圖。(12 分)
相關申論題
⑴請分別寫出下列程式第一行(line 1)到第五行(line 5)的執行次數(frequency count),於試卷上請標明是第幾行,次數是多少。(10 分)
#160387
⑵於下列程式,請計算指令 x++;一共會執行多少次?(5 分)
#160388
⑶請根據下列表格的數據,size是問題量(或問題大小),count是程式指令的總執 行次數,來推測程式執行的時間複雜度(time complexity),請以Big-Theta Θ 表 示之(例如:Θ(3n))。(5 分)
#160389
⑴假設本文是:THERE_IS_MORE_TO_LIFE_THAN_INCREASING_ITS_SPEED, 欲找尋的樣式(pattern)為 GENTLE,問: 1.總共比較多少次?(5 分) 2.一共比較多少個字元?(5 分)
#160390
⑵假設本文是一千個 " 0",欲找尋的樣式(pattern)為 01010,請問: 1.總共比較多少次?(5 分) 2.一共比較多少個字元?(5 分)
#160391
⑴說明樹(tree)與二元樹(binary tree)有那三項主要的不同?(5 分)
#160392
⑵已知某一樹其分支度(degree)為 1 的節點(node)有 5 個,分支度為 2 的節點 有 4 個,分支度為 3 的節點有 3 個,分支度為 4 的節點有 2 個,分支度為 5 的節 點有 1 個,請問此樹一共有幾個節點?(5 分)
#160393
⑶證明:於任意一個二元樹中,若n0代表分支度為 0 的節點數目,n1代表分支度為 1 的節點數目,n2代表分支度為 2 的節點數目,則n0 =n2+1。(10 分)
#160394
⑴說明什麼是拓樸排序?(5 分)
#160395
⑵舉出一種拓樸排序的應用。(3 分)
#160396
相關試卷
115年 - 115 關務特種考試_三等_資訊處理(選試英文):資料結構#138980
115年 · #138980
115年 - 115 身心障礙特種考試_三等_資訊處理:資料結構#138979
115年 · #138979
114年 - 114 地方政府公務特種考試_三等_資訊處理:資料結構#134706
114年 · #134706
114年 - 114 公務升官等考試_薦任_資訊處理:資料結構#133251
114年 · #133251
114年 - 114 高等考試_三級_資訊處理:資料結構#128753
114年 · #128753
114年 - 114 關務特種考試_三等_資訊處理(選試英文):資料結構#126563
114年 · #126563
114年 - 114 身心障礙特種考試_三等_資訊處理:資料結構#126562
114年 · #126562
113年 - 113 地方政府公務、離島地區公務特種考試_三等_資訊處理:資料結構#124511
113年 · #124511
113年 - 113 高等考試_三級_資訊處理:資料結構#121217
113年 · #121217
113年 - 113 關務特種考試_三等_資訊處理(選試英文):資料結構#119489
113年 · #119489