阿摩線上測驗
登入
首頁
>
分析化學(含儀器分析)
>
108年 - 108 普通考試_化學工程、環境檢驗:分析化學概要#77695
> 申論題
申論題
試卷:108年 - 108 普通考試_化學工程、環境檢驗:分析化學概要#77695
科目:分析化學(含儀器分析)
年份:108年
排序:0
申論題資訊
試卷:
108年 - 108 普通考試_化學工程、環境檢驗:分析化學概要#77695
科目:
分析化學(含儀器分析)
年份:
108年
排序:
0
題組內容
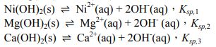
三、已知 Ni(OH)
2
、Mg(OH)
2
與 Ca(OH)
2
在水中會進行下列解離反應:
實驗顯示三者的溶解度(簡稱 S,單位:mol/L)會隨水中 pH 值增加而降低, 如下圖所示,其中縱軸為 S 的對數函數值(log(S))。已知 K
sp,1
< K
sp,2
< K
sp,3
, 根據所述,回答下列問題:
申論題內容
⑷承子題⑶,若欲藉由相似方法,繼續將兩個沉澱物予以分離,則應將 其置於一公升何種 pH 範圍的溶液中,才能達到「完全分離」的目的? 並詳述分離邏輯。(5 分)