所屬科目:分析化學(含儀器分析)
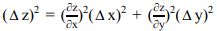
⑴若秤量紙的重量為 0.101 (± 0.002)克,而硝酸銀的淨重為 W (± Δ W)克,則 W 與 Δ W 的數值各為何?估計之,並詳述計算過程,已知若 z = f(x,y), 則,其中 Δ z、 Δ x 與 Δ y 分別代表 z、x 與 y 的標準偏差(standard deviation)。 (5 分)
⑵若欲讓該溶液中的 恰等於 1.0,則須加入多少毫升 0.010 M 的 [HA] KOH?估計之,並詳述計算過程。 (5 分)
⑶已知 KA 是 HA 與 KOH 的產物,若欲以 1.0 M KA 與 1.0 M HCl 配製 VKA 出 pH 6.0 的溶液,則二者體積的比值( )應為何?估計其數值,並 VHCl 詳述計算過程,其中 VKA 與 VHCl 分別代表 KA 與 HCl 的體積。 (5 分)
⑴若在 1.0 公升 0.001 M 的 AgNO3 溶液中加入大量銅粉,則銀離子的最 終濃度為多少 M?估計其數值,並詳述計算過程,假設溶液體積變化 可忽略不計、pH 值並無變化、銅粉僅會與銀離子進行下列反應,不 會引起其他反應。(15 分)