10.如【圖 6】所示,電流 I 為_____ 安培(A)。
詳解 (共 10 筆)
詳解
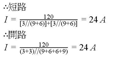
電橋平衡 cd無電流流過
可視為短路或開路皆可 不影響原電路性質

串聯:將兩個或兩個以上的電路元件,依頭尾順序聯成串接的電路
並聯:將電路中所有元件,頭接頭,尾接尾即為並聯電路
詳解
中間電橋平衡,故中間忽略
實際算法為:
RT=(3+3)//(9+6+6+9)=6//30=5
I=120V/5R=24A
詳解
24A
詳解
Rth=6//30=5
I=120/5=24 A
詳解
24A
詳解
24A
詳解
24A
詳解
4.375
詳解
24a
詳解
Icd=0
Rae=6//30=5
V=IR=>120/5=>I=24A