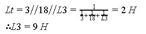
4.如【圖 2】所示,已知 L1 = 3 亨利(H),L2 = 18 亨利(H),且總電感 LT = 2 亨利(H), 則 L3 之值為_____ 亨利(H)。
詳解 (共 10 筆)
詳解

詳解
LT=L1//L2//L3=2=3//18//L3,L3=9
詳解
6並3=2
L3並18=6
L3=9H
詳解
3*18/3+18=18/7
18/7*L3/18/7+L3=2
L3=9
詳解
2=3//18//9
L3=9
詳解
9 H
詳解
L3:9H
詳解
9亨利
詳解
總L : 2H=L1(3H) 並 L2(18H) 並 L3(未知)
最後求得L3 : 9H
詳解
9H