阿摩線上測驗 登入

申論題資訊

試卷:106年 - 106 大學入學考試中心_指定科目考試:數學甲#62740
科目:高中指考◆數學甲
年份:106年
排序:0

題組內容

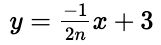
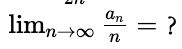
C. 坐 標 平 面 上 , x 坐 標 與 y 坐 標 均 為 整 數 的 點 稱 為 格 子 點 。 令 n 為 正 整 數 , Tn 為 平面上以 直 線 ,以 及 x 軸、 y 軸 所 圍 成 的 三 角 形 區 域( 包 含 邊 界 ), 而 an 為 Tn 上 的 格 子 點 數 目 , 則 (____(14)(15)______)。

申論題內容

15