題組內容
18-20 題為題組
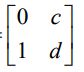
已知
、
皆為坐標平面上以原點 O 為中心,逆時針旋轉一銳角的旋轉 矩陣,且滿足A2=B3=
,其中 cd, 為實數。 設點 P(1,1) 經 3 A 變換後為點 Q ,且點 Q 經 B4變換後為點 R 。根據上述,試回答下列問題。
19. 試求點 Q 的坐標,以及
與向量 (1,0) 的夾角。
18-20 題為題組
已知
、
皆為坐標平面上以原點 O 為中心,逆時針旋轉一銳角的旋轉 矩陣,且滿足A2=B3=
,其中 cd, 為實數。 設點 P(1,1) 經 3 A 變換後為點 Q ,且點 Q 經 B4變換後為點 R 。根據上述,試回答下列問題。
19. 試求點 Q 的坐標,以及
與向量 (1,0) 的夾角。