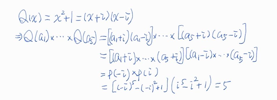
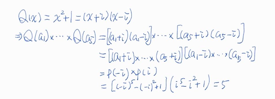
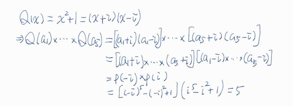
2. 設P(x)=x5-x2+1=0的五個根為a1,a2,a3,a4,a5,Q(x)=x2+1,則Q(a1)•Q(a2)•Q(a3)•Q(a4)•Q(a5)=_______。
詳解 (共 3 筆)
詳解
如上
詳解
如上
詳解
如下

