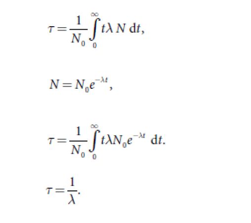
3. 請證明放射性同位素之平均壽命為 1/λ,λ為蛻變常數。
詳解 (共 1 筆)
詳解
考選部解答

3. 請證明放射性同位素之平均壽命為 1/λ,λ為蛻變常數。
