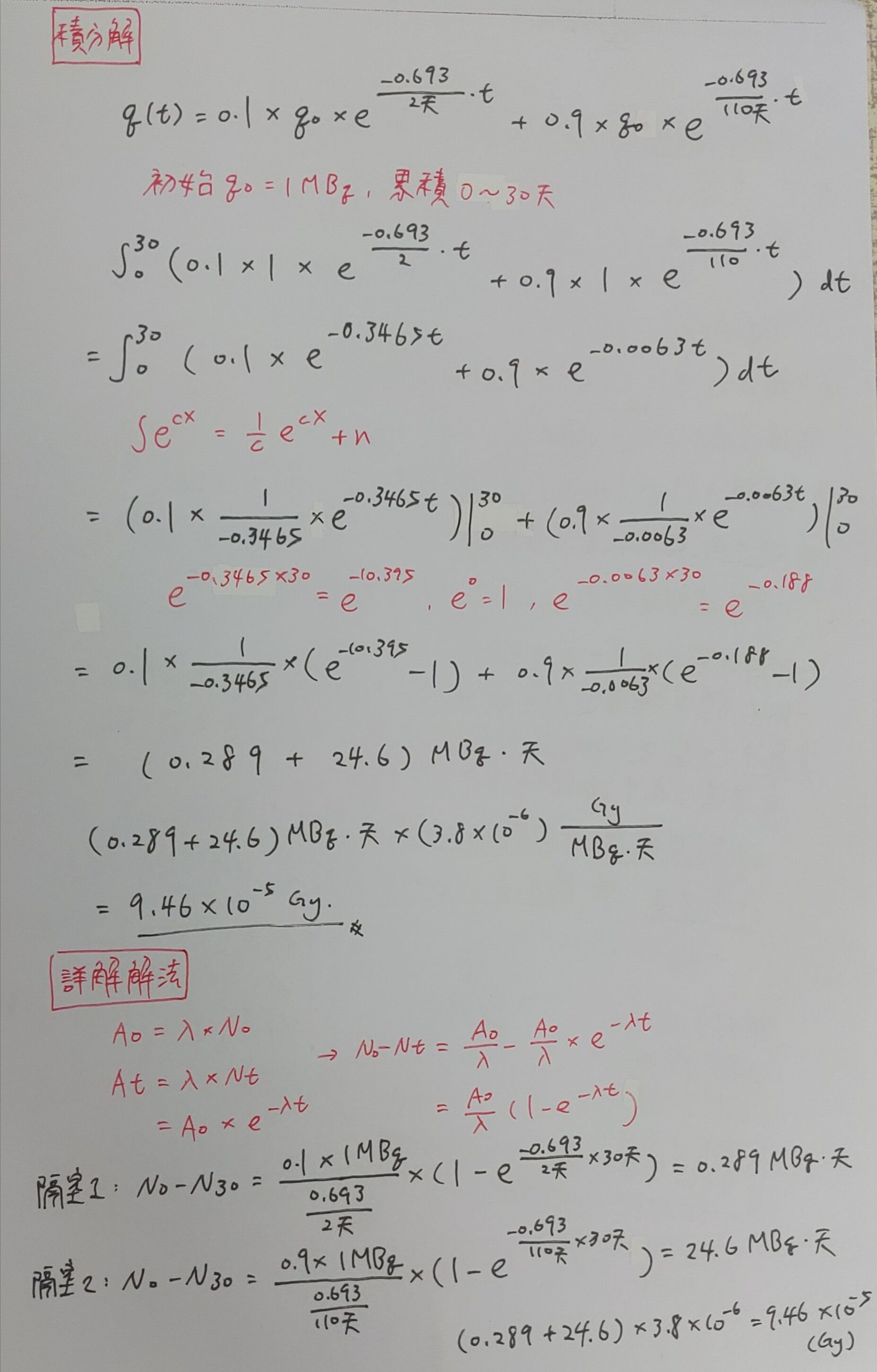
7. 某人誤食 1.0 MBq 的
,它在人體內滯留的特徵可使用二隔室模式描述與計算之,
即
,已知
每單位累積活度的吸收劑量
S(body←body)為 3.8×
Gy/MBq-day,請問此人前 30 天接受的吸收劑量(Gy)?
詳解 (共 1 筆)
詳解

7. 某人誤食 1.0 MBq 的
,它在人體內滯留的特徵可使用二隔室模式描述與計算之,
即
,已知
每單位累積活度的吸收劑量
S(body←body)為 3.8×
Gy/MBq-day,請問此人前 30 天接受的吸收劑量(Gy)?
