題組內容
Problem 2
A air-filled coaxial with dimensions as shown in the following figure,
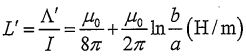
Figure (e) a coaxial transmission line with signal carrying conductor of radius a inside the surrounding ground of radius b. The inductance per unit length is
. Here we have assumed that the curent inside the signal-carrying conductor is uniformly distributed. And, the capacitance per unit length is
.
A air-filled coaxial with dimensions as shown in the following figure,
Figure (e) a coaxial transmission line with signal carrying conductor of radius a inside the surrounding ground of radius b. The inductance per unit length is
. Here we have assumed that the curent inside the signal-carrying conductor is uniformly distributed. And, the capacitance per unit length is
.