所屬科目:教甄◆數學
1. 空間中有一正三角形,其三頂點投影到xy平面後,形成邊長為2、3、的三角形,試求原正三角形的邊長?
2. f(x) =,求之值?
3. 最簡分數化成循環小數後為,試問m的最小值?
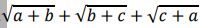
5. 已知a, b, c皆為正數,且3a + 4b + 5c = 6,求的最大值?
8. 求極限的值?
9. 假設投擲某金幣一枚出現正面與反面的機率皆為,試問平均要連擲幾次金幣,才會出現連續三次正面?
10. 已知|p| ≤ 1, |q| ≤ 1,則pq +的最大值為何?
二、計算證明題:1. 有一數列,a0 = 1, a1 = 3,對於自然數n時,,試證不會是5的倍數。