阿摩線上測驗
登入
首頁
>
教甄◆數學
>
113年 - 113 國立臺南大學師資培育中心教育學程甄試考試:數學#119201
> 試題詳解
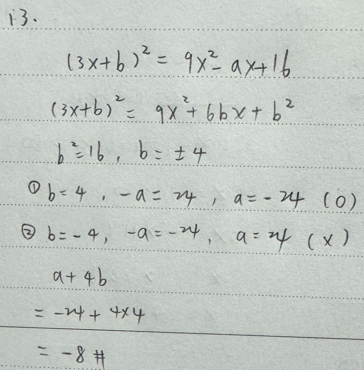
13.小明利用乘法公式將(3x+b)
2
展開後得到9x
2
-ax+16。若a為負整數,求a+4b之值。
(A) 40
(B)16
(C)-8
(D) -12
答案:
登入後查看
統計:
A(28), B(18), C(241), D(14), E(0) #3220125
詳解 (共 2 筆)
歐陽無敵
B1 · 2024/03/27
#6054804
(3X+b)(3X+b)=9x2+6bX...
(共 90 字,隱藏中)
前往觀看
10
0
Chen Chen
B2 · 2024/03/31
#6057834
3
0
相關試題
1.若 x 為正整數,且也是正整數,則 x 可能的值有幾個?(A) 5 (B) 6 (C) 7 (D) 8(E)一律給分
#3220113
2.如圖(一),正方形ABCD、EFGH的邊長皆為15,若多邊形ABIFGHJD的周長為95,則四邊形CIEJ的周長為何? (A) 20 (B) 25 (C) 30 (D) 35
#3220114
3.△ABC中,的垂直平分線交於一點 O,若∠A:∠B:∠C=1:2:3,則∠BOC=? (A) 60° (B) 90° (C) 120° (D) 150°
#3220115
4.有一數列為 1﹐2﹐2﹐3﹐3﹐3﹐4﹐4﹐4﹐4﹐5﹐…,求此數列前200項的和為多少? (A) 2580 (B) 2610 (C) 2650 (D) 2670
#3220116
5.試求之值。 (A)(B)(C)(D)
#3220117
6.a 和 b 皆為正整數,若 a 與 4 的最大公因數是 2;b 與 4 的最大公因數也是 2。求(a+b) 與 4 的最大公因數為何? (A) 2 (B) 1 (C) 4 (D) 6
#3220118
7.△ABC三邊長分別為 4, 5, 6,p, q, r 分別代表△ABC內部任意一點至三邊的距離。求 p2+q2+ r2 的最小值為何? (A) 50 (B) 225/44 (C) 189/49 (D) 289/50
#3220119
8.試求=? (A) 2 (B)(C)(D)
#3220120
9.如圖(二),O 是圓心,若圖中畫斜線區域的周長(即弦 AB+弦 CD+弧 AC+弧 BD) 恰等於此圓 O 的圓周長,則圓心角θ為多少(以弳度量表示)? (A) 2 (B) 3 (C)(D)
#3220121
10.普通數學期中考試共計 30 題,答對一題給予 3.5 分;答錯一題需倒扣 1.5 分;未作答則不給予分數也不倒扣分數。曉華 總共填答 26 題,他至少要答對幾題總分才會超過 80 分? (A) 22 (B) 23 (C) 24 (D) 25
#3220122
相關試卷
115年 - 115-1 臺北市立大安高工教師甄選試題:數學科#138455
2026 年 · #138455
115年 - 115-1 國立臺灣師範大學附屬高級中學_專任教師甄選試題:數學科#138411
2026 年 · #138411
115年 - 115-1 國立臺灣師範大學附屬高級中學_專任教師甄選試題:數學科#138410
2026 年 · #138410
115年 - 115-1 國立臺灣師範大學附屬高級中學_專任教師甄選試題:數學科#138409
2026 年 · #138409
115年 - 115-1 臺北市立麗山高級中學_正式教師甄選試題:數學科#138397
2026 年 · #138397
115年 - 115-1 國立臺南一中_教師甄選初試試題:數學#138376
2026 年 · #138376
115年 - 115 國立嘉科實驗高級中學_國小部普通班教師甄選試題:數學#138356
2026 年 · #138356
115年 - 115-1 國立中央大學附屬中壢高級中學教師甄選試題:數學科#138235
2026 年 · #138235
115年 - 115 高雄中學正式教師甄選試題:數學科#138213
2026 年 · #138213
115年 - 115-1 國立中興大學附屬高級中學_正式教師甄試試題:數學科#138079
2026 年 · #138079