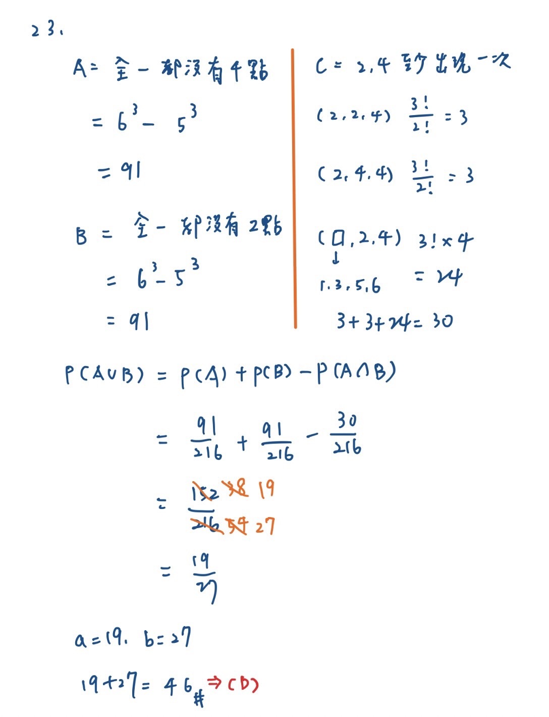
23. 投擲一公正的六面的骰子三次,設三次中至少出現一次4點的事件為A,三次中至少出現一次2點的事件為B,則事件A和B至少有一發生的機率為 (a, b互質),求a + b = ? (A) 11 (B) 21 (C) 34 (D) 46