阿摩線上測驗
登入
首頁
>
教甄◆數學
>
112年 - 112 新北市立國民中學教師聯合甄選試題:數學科#115067
> 試題詳解
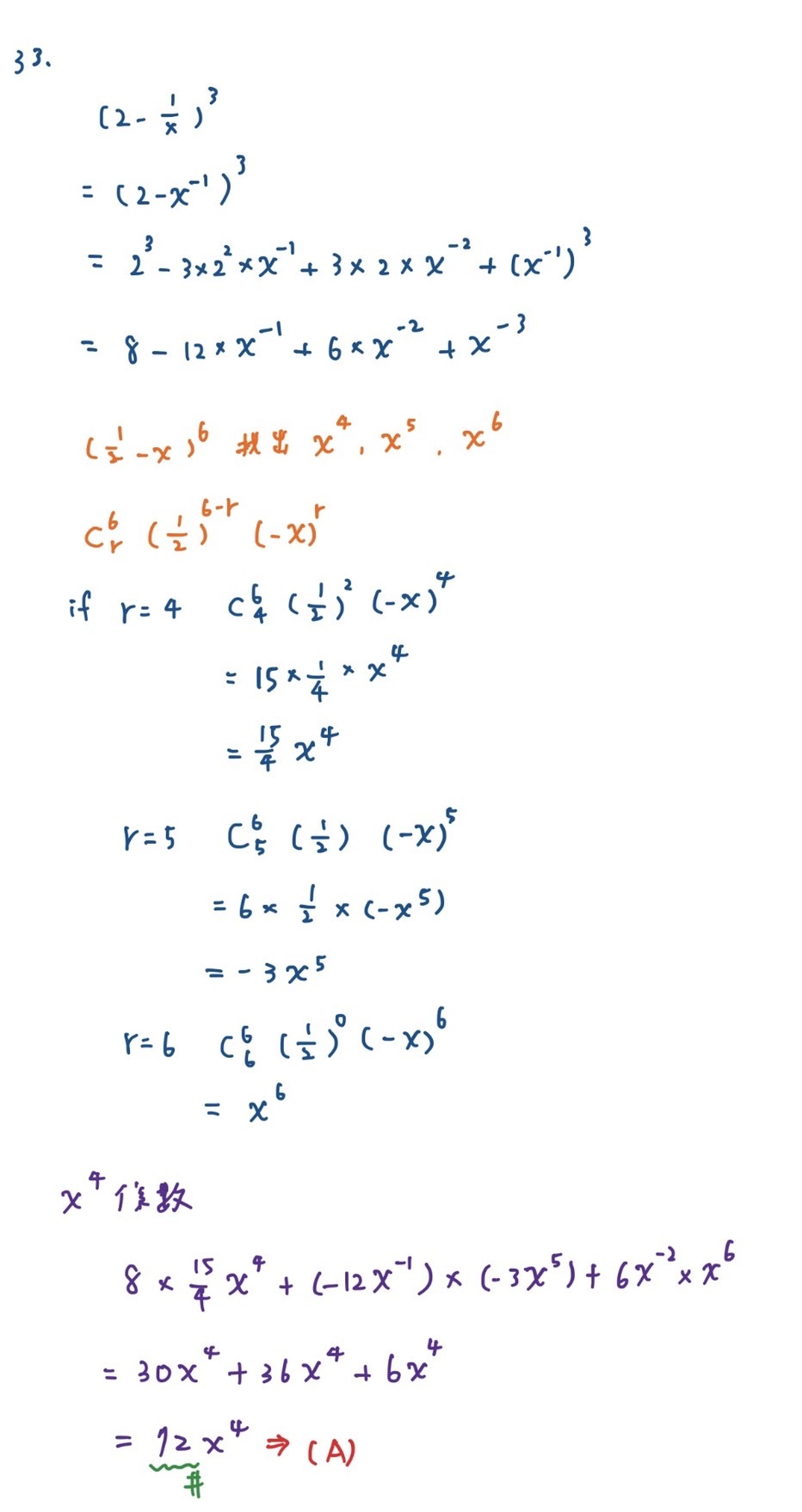
33. 在乘積
的展開式中,x
4
項的係數為何?
(A)72
(B)−72
(C)144
(D)−144
答案:
登入後查看
統計:
A(26), B(9), C(8), D(3), E(0) #3122551
詳解 (共 3 筆)
陳佳緯
B1 · 2023/07/03
#5866912
(共 1 字,隱藏中)
前往觀看
7
0
Chen Chen
B2 · 2023/07/22
#5893126
0
0
MoAI - 您的AI助手
B3 · 2025/12/13
#7245114
這是一道關於 二項式定理 (Binomi...
(共 3332 字,隱藏中)
前往觀看
0
0
相關試題
1. 以下哪三個邊長,可以組成鈍角三角形? (A)5,10,11 (B)5,12,13 (C)5,9,11 (D)5,7,13
#3122519
2. 已知兩直線kx − y = 2、x + 2y = 2交點在第一象限,則k的範圍為何? (A)(0,1) (B)(1, ∞) (C)(0, ∞) (D)(−∞, 0)
#3122520
3. 已知f(x) = x(x + 1)(x + 2)(x + 3)(x + 4),試問函數g(x) = f(x − 2)的奇偶性? (A)奇函數 (B)偶函數 (C)不是奇函數也不是偶函數 (D)是奇函數也是偶函數
#3122521
4. 長成2p − 1(p為質數)這種形式的質數稱為梅森質數,目前找到的最大的梅森質數為282589933 − 1,請問其末兩位為何? (A)11 (B)41 (C)51 (D)91
#3122522
5. 三邊邊長為連續正整數的直角三角形有幾個? (A)1個 (B)2個 (C)4個 (D)無限多個
#3122523
6. 梯形ABCD中,平行,又∠A = 90∘,且 = 2,= 3,= 1,求上的中點到的距離為何? (A)1 (B) (C) (D)
#3122524
7. 已知平面上四點A, B, C,D,且 ,則 =? (A)(B)(C)(D)
#3122525
8. 過原點且與圓x2 + y2 = 25的交點皆為格子點的直線有幾條? (A)2 (B)4 (C)5 (D)6
#3122526
9. 兩集合A = {(x, y)|2x + 3y = 3},B = {(x, y)|x2 + 4x + 4y + 3 = 0},則A ∩ B的元素個數為何? (A)0 (B)1 (C)2 (D)無限多
#3122527
10. 橢圓x2 + 4y2 = 36中,長度為正整數,且過焦點的弦有幾條? (A)10 (B)11 (C)32 (D)35
#3122528
相關試卷
115年 - 115-1 臺北市立大安高工教師甄選試題:數學科#138455
2026 年 · #138455
115年 - 115-1 國立臺灣師範大學附屬高級中學_專任教師甄選試題:數學科#138411
2026 年 · #138411
115年 - 115-1 國立臺灣師範大學附屬高級中學_專任教師甄選試題:數學科#138410
2026 年 · #138410
115年 - 115-1 國立臺灣師範大學附屬高級中學_專任教師甄選試題:數學科#138409
2026 年 · #138409
115年 - 115-1 臺北市立麗山高級中學_正式教師甄選試題:數學科#138397
2026 年 · #138397
115年 - 115-1 國立臺南一中_教師甄選初試試題:數學#138376
2026 年 · #138376
115年 - 115 國立嘉科實驗高級中學_國小部普通班教師甄選試題:數學#138356
2026 年 · #138356
115年 - 115-1 國立中央大學附屬中壢高級中學教師甄選試題:數學科#138235
2026 年 · #138235
115年 - 115 高雄中學正式教師甄選試題:數學科#138213
2026 年 · #138213
115年 - 115-1 國立中興大學附屬高級中學_正式教師甄試試題:數學科#138079
2026 年 · #138079