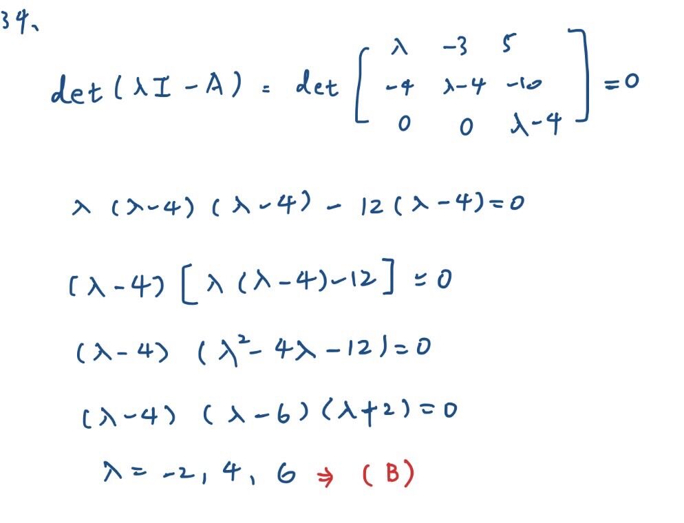
34. 矩陣A=,下列選項中,何者不是 A 的特徵值?
(A) -2
(B) 2
(C) 4
(D) 6

答案:登入後查看
統計: A(13), B(34), C(5), D(8), E(0) #3130006

詳解 (共 3 筆)

#5904920


(共 1 字,隱藏中)
前往觀看
5
0
#5927190


(共 1 字,隱藏中)
前往觀看
2
0
#5893109
0
0