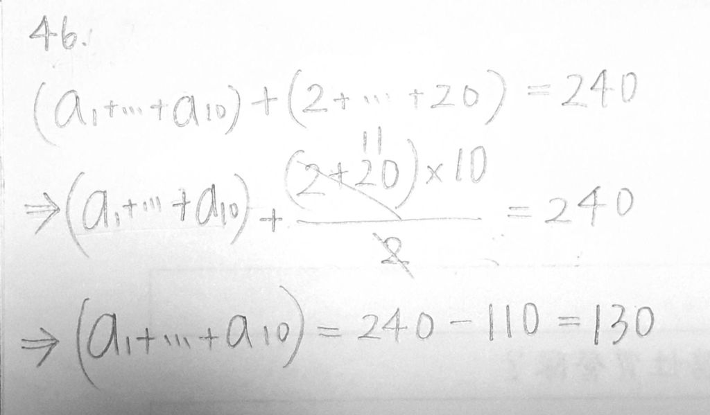
46. 數列 a1+2,……,ak+2k,……,a10+20 共有十項,且其和為 240,則 a1+……+ak+……+a10 之值為何?
(A)32
(B)120
(C)130
(D)180 .

答案:登入後查看
統計: A(25), B(107), C(822), D(42), E(0) #2275277

詳解 (共 3 筆)

#3917748

答案為C
因為第一式和為240,扣掉數字可以計算部分(110),之後得到a1+a2+...+a10=240-110=130


11
0
#5497076

629df8a804fab.jpg

8
0
#3918137
原本答案為A,修改為C
(共 13 字,隱藏中)
前往觀看
1
1

私人筆記 (共 1 筆)

私人筆記#4931870
未解鎖


(共 0 字,隱藏中)
前往觀看
2
0