阿摩線上測驗
登入
首頁
>
教甄◆數學
>
115年 - 115-1 國立羅東高中_教師甄選初試︰數學科#138675
> 申論題
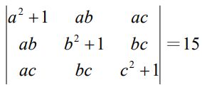
10.a,b,c∈ℝ,若
,求a+2b+3c之最大值。
相關申論題
1.設a,b,c∈ℝ,且abc=1,ab+bc+ca-3abc=0,a≠1,b≠1,c≠1,求之值。
#568146
2.求10115的百萬位的數字。
#568147
3.求曲線y=x³-4x和其上一點P(1,-3)處之切線所圍成之區域面積。
#568148
4.雙曲線Γ之兩焦點為F₁(0,0),F₂(2,2),已知為雙曲線Γ上一點,求雙曲線Γ的方程式。
#568149
5.數列<aₙ>為等差數列,aₙ=log(bₙ),n=1,2,3,...。已知a₆=27,a₁₀=47,求b₁b₂…b₁₀之值。
#568150
6.求函數f(x)=(x-2)³+3(x-2)²-2(x-2)-6在x=-2的一次近似。
#568151
7.曲線y=x²-x+和直線y=a,a≠1相交於P,Q兩點,設P(x₁,a),Q(x₂,a),x₁>x₂,求log_a|x₁²-|-log_a|x₁+1/2|+2log_a|x₂-|之值。
#568152
8.投擲均勻的骰子四次,出現的點數依次為n₁,n₂,n₃,n₄,在坐標平面上若A(n₁,n₂),B(n₃,n₄),求A≠B但向量和直線y=x有共同點的機率。
#568153
9.在等腰直角三角形ABC中,=4,點P是上異於A、B的一點,光線從P點出發,經反射後又回到P點。若光線QR經過△ABC的重心,則=?(化成最簡分數)
#568154
11.設A(1,-1,2),B(1,5,-4),於平面E:x+y+z-5=0上求一點P,使為最大,則P之坐標為?
#568156
相關試卷
115年 - 115-1 臺北市立中正高級中學_專任教師甄選初試試題:數學科#138690
115年 · #138690
115年 - 115-1 國立羅東高中_教師甄選初試︰數學科#138675
115年 · #138675
115年 - 115-1 臺南市立沙崙國際高級中學高中部_教師甄選試題:數學科#138673
115年 · #138673
115年 - 115-1 國立蘭陽女子高級中學_教師甄選試題︰數學科#138666
115年 · #138666
115年 - 115-1 新竹縣立湖口高中_正式教師甄選試題:數學科#138653
115年 · #138653
115年 - [無官方正解]115-1 國立屏科實驗高級中等學校_教師甄選:高中數學科#138645
115年 · #138645
115年 - 115-1 國立屏科實驗高級中等學校_教師甄選試題:國中數學科#138641
115年 · #138641
115年 - 115-1 國立嘉科實驗高級中學_教師甄選試題_高中部:數學科#138615
115年 · #138615
115年 - 115-1 臺北市立大同高級中學_教師甄選初選試題:高中數學科#138591
115年 · #138591
115年 - 115-1 臺北市立大安高工教師甄選試題:數學科#138455
115年 · #138455