阿摩線上測驗
登入
首頁
>
物理化學(包括化工熱力學)
> 100年 - 100 公務升官等考試_薦任_商品檢驗:物理化學#27373
100年 - 100 公務升官等考試_薦任_商品檢驗:物理化學#27373
科目:
物理化學(包括化工熱力學) |
年份:
100年 |
選擇題數:
0 |
申論題數:
11
試卷資訊
所屬科目:
物理化學(包括化工熱力學)
選擇題 (0)
申論題 (11)
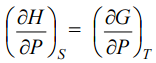
【已刪除】一、試導證
, 其中 H 為焓,G 為 Gibbs free energy,P 為壓力,T 為溫度。(10 分)
二、試計算 1 莫耳(mole)理想氣體於 0℃由 2.24 升可逆等溫膨脹到 22.4 升所作最大功。 (10 分)
三、1 莫耳理想氣體於 0℃,從 44.8 升之容積,經絕熱可逆程序壓縮到 22.4 升。試計算最終 溫度與最終壓力。(註 R = 1.987 cal/mole °K = 0.08205 l-atm/mole °K = 8.314 J/mole °K) (20 分)
⑴功
⑵熱
⑶Δ H
⑷Δ G
⑸Δ S。
【已刪除】五、試計算於 298.1°K與 1.00 bar下,N2O4與NO2的平衡莫耳數。此情況下唯一之反應為
假設理想氣體。最初只有 1.00 莫耳的N2O4,但沒有NO2存在。已知反應標準自由能 Δ G
r
° =5.08 kJ。(20 分)
【已刪除】六、一系列反應式如下:
試列出
的反應動力式。(12 分)
七、試解釋何謂化勢(chemical potential)?(8 分)