所屬科目:研究所、轉學考(插大)-微積分
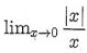
1. Find the limit: .
4. Show that the function f(x) = is constant for x > 0.
5. Find the area of the largest rectangle that can be inscribed under the curve in the first and second quadrants.
6. Sketch the graph of g(x) = and determine g'(0).
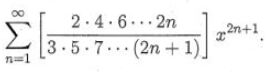
7. Find the radius and interval of convergence of
8. Find the Maclaurin series for the function g(x) =.