所屬科目:研究所、轉學考(插大)-微積分
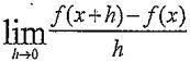
(a) (5%) Let f(x)=x², prove that f'(x)=2x by the definitionf'(x)=.
(b) (5%) Let g be a function of several variables which is defined in some neighborhood of 0. We will say that g(h) is o(h) iff = 0.Prove that g(h) = ||h|| is o(h).
2. (15%) Suppose that the temperature at each point of a metal plane is givenby the function T(x,y)=1+x²-y². Find the path followed by a heat-seekingparticle that originates at (-2, 1).
3. (10%) Find the directional derivative of the function g(x,y)=x²+y² at thepoint (1, 2) in the direction of the vector 2i-3j.
4. (10%) Use polar coordinates to calculate the volume of a sphere of radius R.
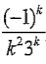
5. (10%) Find the interval of convergence of Σ(x+2)k.
6. (10%) Sketch the graph of the function f(x) = - 5x.
7. (10%) Evaluate: ∫.
8. (10%) Estimate f(5.4) given that f(5)=3 and f'(x) =.
9. (10%) The region bounded by the curves y = x²-2x and y = 3x is revolvedaround the line y = -1. Find the volume of the solid that is generated.