阿摩線上測驗
登入
首頁
>
交通工程
> 100年 - 100 地方政府特種考試_三等_交通技術:交通工程#23530
100年 - 100 地方政府特種考試_三等_交通技術:交通工程#23530
科目:
交通工程 |
年份:
100年 |
選擇題數:
0 |
申論題數:
4
試卷資訊
所屬科目:
交通工程
選擇題 (0)
申論題 (4)
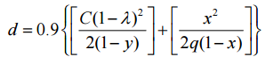
【已刪除】一、一般針對號誌化交叉口的服務水準評估,皆採延滯當評估指標,請說明若採 V/C 評 估會有何優缺點?在採取延滯評估時,對於現有路口而言,可以進行實際的延滯調 查,請說明調查方法及如何求得平均每車延滯?但也可以用推估公式計算,有時可 採用推估公式中,一種近似簡化的 Webster 公式,請依此公式計算若週期 60 秒,有 效綠燈 20 秒,飽和流量 2000 車/小時,交通量為 400 車/小時的情形下,其推估的 每車平均延滯為多少秒?公式如附供參考:
二、在一個道路的某一路段碰到車道數減少的瓶頸路段,以致出現擁塞的情形,假如目 前在未到車道數減少前的路段,在到達交通量為 4000 車/小時的情形下,可以用 80 公里/小時的速率暢行。而在車道數減少的路段可通過的容量只有 3600 車/小時。在 這瓶頸路段上只能以車速 40 公里/小時慢速通行。此時會造成塞車回堵的情形,此 種到達交通量 4000 車/小時的情形持續 1.5 小時,之後由上游非瓶頸路段到達的交 通量由 4000 車/小時降為 2000 車/小時。請估算在瓶頸路段前這塞車期間平均回堵 排隊長度為多少?其塞車時間會持續多久才紓解?(25 分)
三、自行車交通空間的設計必須充分考慮自行車行駛特性,請由使用者、交通安全、道 路品質、天候、交通管制等有關方面說明這些特性包括那些?(25 分)
四、請說明市區道路規劃的環境品質的原則有那些?請由路線、工程、道路交叉及鄰近 土地使用等方面加以說明。(25 分)
相關試卷
114年 - 114 地方政府公務特種考試_四等_交通技術:交通工程概要#134654
114年 · #134654
114年 - 114 地方政府公務特種考試_三等_交通技術:交通工程#134561
114年 · #134561
114年 - 114 公務升官等考試_薦任_交通技術:交通工程#133146
114年 · #133146
114年 - 114 高等考試_二級_交通技術:交通工程#131556
114年 · #131556
114年 - 114 高等考試_三級_交通技術:交通工程#128464
114年 · #128464
114年 - 114 普通考試_交通技術:交通工程概要#128364
114年 · #128364
113年 - 113 地方政府公務特種考試_三等_交通技術:交通工程#124457
113年 · #124457
113年 - 113 地方政府公務特種考試_四等_交通技術:交通工程概要#124252
113年 · #124252
113年 - 113 高等考試_三級_交通技術:交通工程#121269
113年 · #121269
113年 - 113 普通考試_交通技術:交通工程概要#121170
113年 · #121170