阿摩線上測驗
登入
首頁
>
物理化學(包括化工熱力學)
> 100年 - 100 地方政府特種考試_三等_化學工程:物理化學(包括化工熱力學)#27103
100年 - 100 地方政府特種考試_三等_化學工程:物理化學(包括化工熱力學)#27103
科目:
物理化學(包括化工熱力學) |
年份:
100年 |
選擇題數:
0 |
申論題數:
9
試卷資訊
所屬科目:
物理化學(包括化工熱力學)
選擇題 (0)
申論題 (9)
⑴判斷下列何者為狀態函數(state function):U(內能),S(熵),Q(熱能), W(功)?(8 分)
⑵試說明如何判斷一個熱力函數為狀態函數?(8 分)
【已刪除】二、試導證
, 其中 S 為熵,V 為體積,P 為壓力,T 為溫度。(15 分)
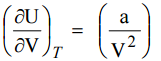
【已刪除】三、若氣體遵守van der Waals equation of state(即﹝P+(a/V
2
)﹞(V-b)=RT), 試導證
(15 分)
⑴試解釋何謂“部分莫耳體積(partial molar volume)"?(6 分)
⑵試說明如何由實驗數據分析兩成份系統之部分莫耳體積?(8 分)
五、在光電效應中,de Broglie 如何推測電子波動之波長?試說明之。(15 分)
⑴試列出[A],[B],[C] 之反應速率方程式。(9 分)
⑵試求解[B]隨反應時間之關係式。(16 分)
相關試卷
114年 - 114 地方政府公務特種考試_三等_化學工程:物理化學(包括化工熱力學、動力學)#134774
114年 · #134774
114年 - 114 公務升官等考試_薦任_化學工程:物理化學(包括化工熱力學)#133274
114年 · #133274
114年 - 114 高等考試_三級_化學工程:物理化學(包括化工熱力學、動力學)#128789
114年 · #128789
114年 - 114 關務特種考試_三等_化學工程(選試英文):物理化學(包括化工熱力學)#126667
114年 · #126667
113年 - 113 地方政府公務特種考試_三等_化學工程:物理化學(包括化工熱力學、動力學)#124506
113年 · #124506
113年 - 113 高等考試_三級_化學工程:物理化學(包括化工熱力學、動力學)#121504
113年 · #121504
113年 - 113 關務特種考試_三等_化學工程(選試英文):物理化學(包括化工熱力學)#119514
113年 · #119514
112年 - 112 地方政府特種考試_三等_化學工程:物理化學(包括化工熱力學)#118352
112年 · #118352
112年 - 112 公務升官等考試_薦任_化學工程:物理化學(包括化工熱力學)#117313
112年 · #117313
112年 - 112 專技高考_專利師(選試專業英文及物理化學)、專利師(選試專業日文及物理化學):物理化學#116261
112年 · #116261