所屬科目:高中指考◆物理
1. 一條長度為 5.0m、兩端固定的繩上所形成的駐波,其示意圖如圖 1。此駐波是由波 形相同,但行進方向相反的二波重疊而成,此二波的波長為何? (A) 1.0m (B) 1.5m (C) 2.0m (D) 2.5m (E) 3.0m
3. 一個物體掛在彈簧下,如圖 2 所示。當物體沿鉛直方 向振動時,其質心位置的最高點為甲,最低點為戊, 且物體的質心在甲點時,彈簧的長度大於其自然長 度。在振動過程中,彈簧作用在此物體上的力在哪一 點最小? (A) 甲 (B) 乙 (C) 丙 (D) 丁 (E) 戊
4. 假設繫住高空彈跳者的繩索可近似為質量可忽略的理想彈簧,而空氣阻 力亦可忽 略。一彈跳者甲自高處鉛直落下,最後以頻率 f 作上下的小振幅簡諧振盪。若換成 一個體重為甲的 2 倍之彈跳者乙,以同一繩索重覆相同的過程,則乙最後作簡諧振 盪的頻率為下列何者? (A) 2 f (B)(C) f (D) (E)
6. 原來靜止於高處的質點,在時間 t = 0 時沿水平方向 被 拋 射 出 去,假 設 在 其 後 的 運 動 過 程 中 僅 受 重 力 作 用,且重力加速度為定值。在質點落地前,其動量 的量值 p 隨時間 t 的變 化,可用圖 3 中的哪一條圖 線來描述? (A) 甲 (B) 乙 (C) 丙 (D) 丁 (E) 戊
7. 已知某行星自轉週期為 T,半徑為 R。環繞它的某一衛星之圓軌道半徑為 32R, 繞行週期為8T。則環繞該行星運行的同步衛星,其圓軌道半徑應是多少?(A)16R(B)8R(C)4R(D)(E)
8. 一個半徑為 R、沒有大氣的星球,在其表面處的重力加速度為 g 。若由該星球表面 以的初速,垂直向上發射一個沒有推進力的物體,則此物體上升的最高點與 星球表面的距離,為下列何者? (A)(B) (C) R (D) (E) 2R
9. 如 圖 4 所示,水平光滑桌面上的甲球向右等 速滑行,過程中無滾動,接著與靜置於桌邊 的乙球作正向 (面 )彈 性 碰 撞。碰 撞 後 兩 球 各 自 落於水平地面上,落地過程中兩球僅受重 力。已知甲、乙兩球半徑相同,質量分別為 2m 及 m,落地點與鉛直桌邊底部的水平距離 分別為 P 和 Q, 則 之值為何? (A) 2 (B) 1 (C) (D) (E)
10. X、 Y、 Z 三根上方開口的垂直管子,管內半徑之比為 1: 2: 1,底部由一水平導管連 接成連通管,注入水後以質量可忽略的活塞封蓋著,並將質量為 MX、 MY 和 MZ 的物體 依序置於 X、Y、Z 三 管 的 活 塞 上,此 時 三 者 的 液 面 等 高。當 施 一 外 力 F 於 MX 上 時,X、 Y、 Z 三根管子的液面高度分別為 h、 2h 和 2h,如圖 5 所示。若水的密度為 d,重力加 速度為 g,則下列選項何者正確? (A) 外 力 F對 X管液面產生的壓力為 dgh (B) 外 力 F對 X管液面產生的壓力為 dgh (C) 外 力 F對 X管液面產生的壓力為 2dgh (D) MX: MY: MZ= 1: 2: 1 (E) MX: MY: MZ= 1: 8: 1
11. 當 時,甲、乙 兩 介 質 的 折 射 率 n甲、 n乙 分別為下列何者? (A) (B) (C) (D) (E)
12. 若光束在乙、丙間的界面發生全反射,則 1 sinΘ 的範圍為下列何者? (A) (B) (C)(D)(E)
13. 以波長為 λ 的平行光,垂直入射單狹縫作繞射實驗。 單狹縫的上端為甲,下端為乙,如圖 7 的示意圖所 示。若 圖 中 屏 幕 距 狹 縫 極 遠,且 屏 幕 上 P 點為第二暗 紋,則甲、乙二點到 P 點的光程差為下列何者? (A) (B) λ (C) (D) 2 λ (E)
14. 有兩個形狀與大小完全相同的 實心圓柱體,分別由純矽與甲材質做成,下表為兩圓 柱體的溫度、電阻及施加於其兩端的電壓關係。已知在 20℃時純矽的電阻率約為純 鍺 的 5000 倍,則甲材質在常温下最可能是下列何者? (A) 超導體 (B) 絕緣體 (C) 金屬導體 (D) 純鍺半導體 (E) P 型或N型半導體
16. 日本福島核電廠因大地震及海 嘯而產生核災變,凸顯核能發電與其安全使用在現代 生活上的重要性。 原子核吸收熱中子後產生核分裂,分裂後減損的質量轉換成 能量而可用來發電。下列有關核能基本知識的相關敍述,何者正確? (A) 核衰變產生的 γ 射線、 α 與 β 粒子,穿透物質能力的順序為 γ > β > α (B) 原子核吸收熱中子後,每次核分裂後僅可釋出 1個中子 (C) 原子核分裂後的碎片不再具有放射性 (D) 太陽輻射的能量主要來自核分裂反應 (E) 約佔天然鈾元素中的 99%
17. 此帶電金屬球在距其球心 1.0cm 處的電場量值為多少 V/m? (A) 0 (B) (C) (D) (E)
18. 此金屬球上所帶的電量大小約為多少庫侖? (A) (B) (C) (D) (E)
19. 如 圖 8 所示,一條細長的直導線與水平桌面垂 直,桌面上平放的小磁針沿桌面到導線的距離 R=10cm。設導線未通電流時,小磁針保持水平 且 其 N 極指向北方;而當導線上的直流電流為 I 時,小磁針 N 極與北方的夾角為θ。當 R 改 為20cm 時,若欲使小磁針 N 極與北方的夾角仍為 θ,則導線的電流大小必須調整成下列何者? (A) I/4 (B) I/2 (C) I (D) 2I (E) 4I
20. 如 圖 9 所示, xy 平面上有一半徑為 a 的圓形細線圈,其 上的電荷線密度 λ (即每單位長度的電量 )均相同。當線 圈 以 ω 的等角速度繞通過圓心且垂直 xy 平面的轉軸轉 動時,則線圈上所產生的電流 I 為下列何者? (A) (B) aλω (C) (D) (E)
22. 圖 10 為某生做「波以耳定律」實驗,以密閉容器內氣體壓 力 P 為 縱 坐 標,體 積 V 的 倒 數 為 橫 坐 標 所 作 的 數 據 圖,在 1、 2、3 三 種 不 同 的 狀 況 下,得 到 斜 率 不 同 的 圖 形。若 以 n1 、 n 2、 n3 與 T1、 T2、 T3 分別代表三種情況下的氣體分子莫耳數與氣體 溫度,則下列有關容器內氣體狀態的敘述,哪些是正確的? (A) 若溫度 T1= T2 = T3 ,則 氣 體 分 子 莫 耳 數 的 關 係 為 (B) 若溫度 T1= T2 = T3,則 氣 體 分 子 莫 耳 數 的 關 係 為 (C) 若莫耳數 ,則氣體溫度的關係為 T1 > T2 > T3 (D) 若莫耳數 ,則氣體溫度的關係為 T1 < T2 < T3 (E) 若溫度一定,且莫耳數一定,則氣體的壓力 P與體積 V成反比
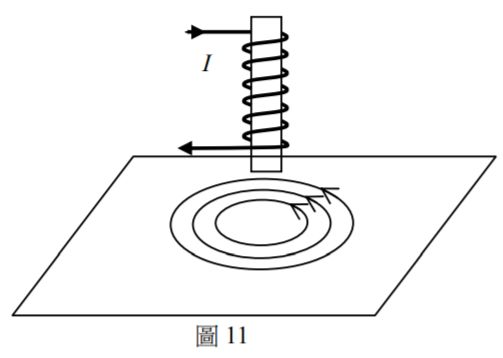
23. 一螺線管置於一固定金屬板的正上方一小段 距離處,螺線管通有電流 I,電流方向如圖 11 所示。下列哪些情況,可使金屬板產生逆 時針方向 (如 圖 )的感應渦電流? (A) 電 流 I 及螺線管的位置均不變動 (B) 螺線管不動,但其電流 I 逐漸增大 (C) 螺線管不動,但其電流 I 逐漸減小 (D) 電 流 I 不變,但使螺線管垂直向下移動 (E) 電 流 I 不變,但使螺線管垂直向上移動
24. 有一光電效應實驗,以不同頻率 f 的光入射同一金屬表面,並測量與各頻率對應的 截止電壓 VS ,所得結果如圖 1 2 所示,若 h 代表普朗克常數, - e 代表電子電荷,下 列敘述哪些是正確的? (A) 截止電壓 VS 對光頻率 f 的關係為一直 線,其斜率為 (B) 截止電壓 VS 對光頻率 f 的關係為一直 線,其斜率為 eh (C) 若入射光的頻率為 ,則 需 較 長 時 間照射方能產生光電子 (D) 若入射光的頻率為 ,則 即 使 光 強 度很弱,光電子仍能立即產生 (E) 截止電壓 VS 對光頻率 f 的關係為一直 線,且此直線與橫軸的交點為f 0 ,則該 金屬的功函數為 h f o