所屬科目:研究所、轉學考(插大)-微積分
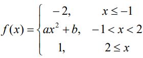
1. Find the constants a and b such that the function is continuous on the entire real number line. (A) a=-1,b= 1 (B) a=1,b=-1(C)a=1 ,b=-3(D)a=-1,b=3 (E) None of these
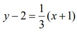
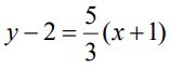
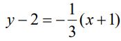
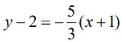
2. Find the equation of the tangent line to the graph of the function at (-1,2). (A) (B)(C) (D)(E) None of these
3. If f(-4)=3,f '(-4)=-1 and g(x)=[f(x)]-2, find g'(-4) (A) - 6 (B) (C) (D)(E) None of these
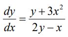
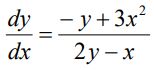
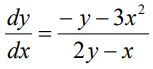
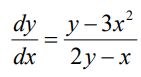
4. For x3-xy+y2=4 , use implicit differentiation to find . (A) (B) (C) (D) (E) None of these
5. Where is the function f(x)=x4-6x2-5 concave up ? (A) x ≥- 1 (B) x≥ 0 (C) x≥1 (D)|x|≥ 1 (E) None of these
6. Find all relative extrema of the function . (A)(B)(C)(D) (E) None of these
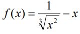
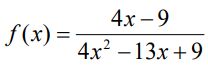
7. Find all vertical asymptotes of the function . (A)(B) x = 1 and (C) x = 1 (D) The function has no vertical asymptote. (E) None of these
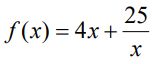
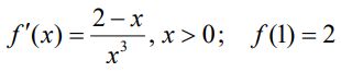
9.. What is f (2) ? (A)(B)(C)(D)(E) None of these
10. =(A) 1 + 2ln2(B)2 +2ln2(C)2+ ln2 (D)3+2ln2 (E) None of these
12. Find the area bounded by the curves y= x2 and y=x3-2x . (A)square units (B) square units (C) square units (D)square units (E) None of these
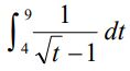
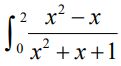
13.dx=(A) 1- ln7 (B) 2-ln7 (C) 3-ln 7(D) 4 - ln7(E) None of these
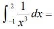
14.(A) Diverges (B) (C) (D) (E) None of these
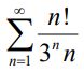
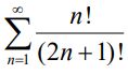
15. Use the Ratio Test to determine which of the following series converges. (A) (B)(C)(D)(E) None of these
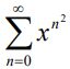
2. (8%) Find the radius of covergence of the power series .