所屬科目:研究所、轉學考(插大)-微積分
1. (10 points) Find the limit limh→0.
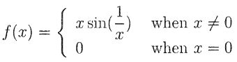
2. (10 points) Is the functiondifferentiable at x = 0?
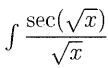
3. (10 points) Evaluate the integral dx.
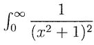
4. (10 points) Does the improper integral dx converge?
(a) (10 points) Write down the equation of the tangent plane of σ at the point (3/2, 3/2, 3/).
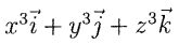
(b) (25 points) Suppose a vector field (x, y, z) = is defined over the surface σ of H. Let denote the outward unit normal vector of σ. Evaluate the integral ∫∫σdS.