阿摩線上測驗
登入
首頁
>
國營事業◆1.電路學 2.電磁學
> 101年 - 101 經濟部所屬事業機構_新進職員甄試_電機(乙):1.電路學 2.電磁學#34383
101年 - 101 經濟部所屬事業機構_新進職員甄試_電機(乙):1.電路學 2.電磁學#34383
科目:
國營事業◆1.電路學 2.電磁學 |
年份:
101年 |
選擇題數:
0 |
申論題數:
19
試卷資訊
所屬科目:
國營事業◆1.電路學 2.電磁學
選擇題 (0)
申論題 (19)
一.有一具1馬力之馬達,功率因數0.8(落後)及效率74.6 %,外接220 V、60 Hz之電源,將 功率因數改善至1,則應並聯電容器C=______________μF? (15分)
(一)V
1
(二)V
2
(三)I
1
(四)I
2
(五)I
3
(一)I
1
(二)V
1
(三)I
2
(四)V
2
(一)求導體上緣a點電場強度之數學式。(5分)
(二)求導體下方b點總電場強度之數學式。(5分)
(三)求導線上每單位長度導體之感應電荷Q。(5分)
【已刪除】(一)下【圖5】僅填滿一種介質時(介電係數
),求此球之電阻R值。(4分)
【已刪除】(二)下【圖6】各半填滿二種介質時(介電係數分別為
1及
2),求此球之電容值。 (1) Ci (3 分)
(2) C
2
(3 分)
【已刪除】六、在均勻磁場
B
=B
0
a
z
的空間中,有一金屬棒(質量M、内阻Ro、長度L)放在導電軌道上, 該導電軌道與x-y軸之夾角為0,詳如下【圖7】所示。金屬棒受地心重力影響(重力加速 度g ),沿軌道以速度V下滑。假設導電軌道電阻、導電軌道與金屬棒間的接觸電阻均忽 略不計,且導電軌道與金屬棒接觸點間無摩擦。 求證:金屬棒沿軌道下滑速率
。(10分)
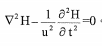
(一)請寫出在真空中的馬克斯威爾(Maxwell)微分方程式。(5分)
【已刪除】(二)請證明電磁波的磁場H波動微分方程式(WaveEquation),
。( 10分)
相關試卷
112年 - 112 經濟部所屬事業機構_新進職員甄試_電機(一):電力系統與電機機械、電磁學#116954
112年 · #116954
105年 - 105 經濟部所屬事業機構_新進職員甄試_電機(乙):1.電路學 2.電磁學#60336
105年 · #60336
104年 - 104 經濟部所屬事業機構_新進職員甄試_電機(乙):1.電路學 2.電磁學#60406
104年 · #60406
103年 - 103 經濟部所屬事業機構_新進職員甄試_電機(乙):1.電路學 2.電磁學(重複)#60436
103年 · #60436
103年 - 103 經濟部所屬事業機構_新進職員甄試_電機(乙):1.電路學 2.電磁學#33564
103年 · #33564
102年 - 102 經濟部所屬事業機構_新進職員甄試_電機(乙):1.電路學 2.電磁學#28598
102年 · #28598
100年 - 100 經濟部所屬事業機構_新進職員甄試_電子:1.電路學 2.電磁學#125623
100年 · #125623