阿摩線上測驗
登入
首頁
>
學士後中醫◆化學(含普通化學、有機化學)
> 102年 - 中國醫藥大學學士後中-化學#24384
102年 - 中國醫藥大學學士後中-化學#24384
科目:
學士後中醫◆化學(含普通化學、有機化學) |
年份:
102年 |
選擇題數:
50 |
申論題數:
0
試卷資訊
所屬科目:
學士後中醫◆化學(含普通化學、有機化學)
選擇題 (50)
【已刪除】1. 下列何者不是兩性化合物(amphiprotic compound)(A)NH
2
CH
2
COOH(B) NH
3
(C) NaH
2
PO
4
(D) Na
2
HPO
4
(E)送分
2. 過渡金屬(transition metal)離子溶在水中,通常具有顏色,下列敘述何者錯誤? (A) 過渡金屬離子吸收可見光 (B) d 軌域能量會分裂 (C) 過渡金屬離子放出可見光 (D) 綠色溶液會吸收紅色的光 (E) 過渡金屬離子會和水形成配位化合物
3. 咖啡因(caffeine)約含有 49.48% C、5.15% H、28.87% N 及 16.49% O,若咖啡因的莫耳質 量(molar mass)為 194.2 g/mol,請問咖啡因的分子式為何?(C:12.01 g/mol、H:1.008 g/mol、N14.01 g/mol、O:16.00 g/mol) (A)C
4
H
5
N
2
O (B) C
8
H
10
N
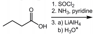
4
O
2
(C) C
6
H
4
NO (D)C
12
H
15
N
6
O
3
(E) C
2
H
5
N
2
O
4. CH
3
COOH 及 HF 皆為弱酸,但 HF 酸的強度比 CH
3
COOH 強, HCl 為強酸。下列鹼強度 的順序何者正確? (A)
(B)
(C)
(D)
(E)
5. 下列反應在酸性條件下進行:
當方程式平衡後,水會在方程式的左邊或右邊?水的係數為何? (A) 右邊,14 (B) 左邊,11 (C) 左邊,15 (D) 右邊,11 (E) 右邊,15
6. 有一天天氣很冷,室外溫度為 7°C,有一個人體溫為 37°C,肺部容量為 2 L,請問需吸入 多少公升(L)的空氣,才能讓肺部充滿空氣? (A) 0.38 L (B) 1.80 L (C) 2.21 L (D) 4.42 L (E) 10.57 L
7. 酒精燃燒的反應方程式如下: C
2
H
5
OH
(I)
+ 3O
2(g)
→ 2CO
2(g)
+ 3H
2
O
(I)
, △H = –1.37x10
3
kJ,下列敘述何者正確? ① 此反應為放熱反應 ② 假如產物為 H
2
O
(g)
,△H 將不等於–1.37x10
3
kJ ③ 此反應不是氧化還原反應 ④ 產物的體積比反應物的體積大 (A) ①② (B) ①②③ (C) ①③④ (D) ③④ (E) ①
8. 下列何者不是分子與分子間的作用力? (A) 氫鍵 (B) 極性共價鍵 (C) 凡得瓦力 (D) 偶極-偶極力 (E) 靜電吸引力
9. 在 25°C 時,將 50 mL 濃度為 x M 的鹽酸溶液(HCl,密度為 1g/mL)和 50 mL 濃度為 2 M 的氫氧化鈉溶液(NaOH,密度為 1g/mL)混合於卡計(calorimeter)中,造成水的溫度上升至 32°C,水的比熱(specific heat capacity)為 4.2 J/°C.g,請問鹽酸溶液的濃度為何? ( H
+
(aq)
+ OH
-
(aq)
→ H
2
O
(I)
△H = –58 kJ/mol) (A) 5 M (B) 2 M (C) 1 M (D) 0.2 M (E) 0.1 M
10. 以 0.10 M 鹽酸溶液滴定 100 mL 的混合溶液,此混合溶液含有碳酸鈉(Na
2
CO
3
)及碳酸氫鈉 (NaHCO3),請問滴定曲線應該為下列哪一個?
(A)
(B)
(C)
l (D)
(E)
11. 若石墨的燃燒熱(combustion enthalpy)為△H = –394 kJ/mol,鑽石的燃燒熱為△H = –396 kJ/mol。請計算若要將 1 莫耳的石墨轉成鑽石(C
graphite(s)
→ C
diamond(s)
),此反應為吸熱或放熱 反應?所需熱量為何? (A) 放熱,790 kJ (B) 吸熱,790 kJ (C) 放熱,2 kJ (D) 吸熱,2 kJ (E) 吸熱,無限多能量
12. 請問在 0.1 M NaI 溶液中,此三種化合物的溶解度大小順序為何?
(A) PbI
2
> AgI > CuI (B) CuI > AgI > PbI
2
(C) AgI > CuI > PbI
2
(D) AgI > PbI
2
> CuI (E) PbI
2
> CuI > AgI
13. 繼上題,CuI 在 0.1 M 的 NaI 溶液中的溶解度會比在 0.1 M NaCl 溶液的溶解度高或低?這 是什麼原因? (A) 高,共同離子效應(Common ion effect) (B) 低,共同離子效應(Common ion effect) (C) 高,勒沙特列原理(Le Châtelier’s principle) (D) 低,勒沙特列原理(Le Châtelier’s principle) (E) 一樣,溶解度積常數
14. 下列何者是碳烯(carbene)的結構?
(A) R
3
C
+
(B) R:
–
(C) R
2
C: (D) R
3
C
–
(E) R˙
15. 有一溶液含有 2 個緩衝溶液系統:
H
2
CO
3
⇌HCO
3
–
+ H
+
pKa = 6.4
H
2
PO
4
–
⇌ HPO
4
2–
+ H
+
pKa = 7.2
當溶液 pH 值為 6.4 時,下列敘述何者正確?
(A) [H
2
CO
3
] > [HCO
3
-
] 且 [H
2
PO
4
-
] > [HPO
4
2
-
] (B) [H
2
CO
3
] = [HCO
3
-
] 且 [H
2
PO
4
-
] > [HPO4
2-
] (C) [H
2
CO
3
] = [HCO
3
-
] 且 [HPO
4
2-
] > [H
2
PO
4
-
] (D) [HCO
3
-
] > [H
2
CO
3
] 且 [HPO
4
2-
] > [H
2
PO
4
-
] (E) [H
2
CO
3
] > [HCO
3
-
] 且 [HPO
4
2-
] > [H
2
PO
4
-
]
16. 以高錳酸鉀(KMnO
4
,158 g/mol)溶液滴定 13.4 g 的草酸鈉(Na
2
C
2
O
4
,134 g/mol),需要 100 mL 的高錳酸鉀溶液才能到達滴定終點,此反應的方程式如下:
MnO
4
- + C
2
O
4
2-
+ H
+
→ Mn
2+
+ CO
2
+ H
2
O (未平衡) 請問高錳酸鉀溶液的濃度為何? (A) 0.001 M (B) 0.4 M (C) 1 M (D) 2.5 M (E) 5 M
17. 若將 50 mL 濃度為 0.1 M 的硝酸銀(AgNO
3
)溶液和 100 mL 濃度為 0.1 M 的氯化鈉(NaCl) 溶液混合,會產生氯化銀(K
sp
=1.82x10
–10
)的沉澱。請問混合後的溶液中,銀離子濃度為何? (A) 0.2 M (B) 0.05 M (C) 0.0333 M (D) 5.46x10
–9
M (E) 1.82x10
–9
M
18. 有一個 32.93 ppm 的 K3Fe(CN)6 (329.3 g/mol)溶液,若溶液的密度為 1g/mL,請問溶液中 K +的莫耳濃度大約為何? (A) 10
-4
M (B) 3x10
-4
M (C) 9x10
-4
M (D) 1x10
-1
M (E) 3x10
-1
M
19. 若
,請計算
的反應平衡常數為何? (A) log 15.6 (B)
(C)
(D) log 42.5 (E)
20. 請問 10 M 的 HNO
3
溶液的 pH 值為何? (A) –1 (B) 0 (C) 0.1 (D) 1 (E) 2
21. 已分別配製 0.2M 的某弱酸(HA,Ka=10
-4
)溶液及其共軛鹼(NaA)溶液,NaA 溶液的濃度為 0.2M,若需配製 1 公升 pH=3 的緩衝溶液,請問需將多少體積的 HA 及 NaA 溶液混合?
(A) 各 500 mL (B) 909 mL HA,91 mL NaA (C) 240 mL HA,760 mL NaA (D) 781 mL HA,219 mL NaA (E) 70 mL HA,930 mL NaA
22. 下列哪些反應會造成系統的熵(entropy)增加?
①
② Br
2(g)
→ Br
2(I)
③ NaBr
(s)
→ Na
+
(aq)
+ Br
-
(aq)
④ O
2
(298 K)→ O
2
(373 K) ⑤ NH
3
(1 atm, 298 K)→ NH
3
(3 atm, 298 K) (A) ① (B) ②⑤ (C) ①③④ (D) ①②③ (E) ①②⑤
23. 下列哪一個實驗證明了原子的質量集中在原子核? (A) 氫原子放射光譜 (B) 光電效應 (C) α粒子被金箔散射 (D) 繞射 (E) 陰極射線
24. 在特定壓力下將液體氣化(vaporization),下列敘述何者正確? (A) 任何溫度下△G 皆為正值 (B) 任何溫度下△G 皆為負值 (C) 低於沸點時△G 為正值,但高於沸點時△G 皆為負值 (D) 低於沸點時△G 為負值,但高於沸點時△G 皆為正值 (E) △G 值和溫度無關
25. 有一個電池(cell)及標準還原電位(standard reduction potential)如下:
MnO
4
-
+ 8H
+
+ 5e
-
→ Mn
2+
+ 4H
2
O E
o
= 1.51 V
Cr
2
O
7
2-
+ 14H
+
+ 6e
-
→ 2 Cr
3+
+ 7H
2
O E
o
= 1.33 V 下列敘述何者錯誤?(A) 這是一個伏他電池(galvanic cell)(B) 電子經由外電路由右邊 Pt 電極流至左邊 Pt 電極(C) 此電池為自發性化學反應(D) 左邊 Pt 電極為陽極(E) Cr
3+
被氧化,MnO
4
-
被還原
26. 下列敘述何者正確? ① 原子自激發態(excited state)回到基態(ground state)會吸收能量 ② 當原子放出電磁輻射時,原子的能量增加 ③ 電磁輻射的能量和頻率成正比 ④ 氫原子的電子自主量子數 n = 4 回到 n = 2 時,會放出特定頻率的電磁輻射 ⑤ 電磁輻射的頻率和波長成反比 (A) ②③④ (B) ③⑤ (C) ①②③ (D) ③④⑤ (E) ①②④
27. 分子極性大小排列何者正確?
(A) CH
4
> CF
2
Cl
2
> CF
2
H
2
> CCl
4
> CCl
2
H
2
(B) CH
4
> CF
2
H
2
> CF
2
Cl
2
> CCl
4
> CCl
2
H
2
(C) CF
2
Cl
2
> CF
2
H
2
> CCl
2
H
2
> CH
4
= CCl
4
(D) CF
2
H
2
> CCl
2
H
2
> CF
2
Cl
2
> CH
4
= CCl
4
(E) CF
2
Cl
2
> CF
2
H
2
> CCl
4
> CCl
2
H
2
> CH
4
28. 有關 SiCl
4
氣態分子,下列敘述何者正確? (A) 鍵角全部是 109° (B) 是極性分子 (C) 分子具有偶極矩 (D) 化學鍵是非極性 (E) 此分子為平面四邊形
29. “在 0 K 時完美晶體(perfect crystal) 的熵(entropy)等於 0”,此段敘述是 (A) 熱力學第一定律 (B) 熱力學第二定律 (C) 熱力學第三定律 (D) 動力學 (E) 質量不滅定律
30. 下列有關燙髮的敘述何者錯誤? (A) 第一劑為還原劑,造成雙硫鍵(disulfide linkage)斷裂 (B) 第一劑會改變蛋白質的三級結構(tertiary structure) (C) 第二劑為氧化劑 (D) 加入第二劑會形成新的雙硫鍵 (E) 加入第一劑造成胜肽鍵(peptide linkage)斷裂
31. DEPT(distortionless enhancement of polarization transfer)是下列何種儀器所使用的一種技 術? (A) 紅外線(IR, infrared)光譜儀 (B) 紫外線-可見光(UV-Vis, ultraviolet-visible)光譜儀 (C) 質譜儀(mass spectrometer) (D) 核磁共振(NMR, nuclear magnetic resonance)光譜儀 (E) 原子力顯微鏡(AFM, atomic force microscopy)
32. 下列化合物中,何者的環張力(ring strain)能量最小? (A) cyclohexane (B) cyclobutane (C) cyclopentane (D) cyclooctane (E) cyclopropane
33. Codiene 的結構如下,請問其具有幾個掌性中心(chiral center)?
(A) 3 個 (B) 4 個 (C) 5 個 (D) 6 個 (E) 7 個
34. 下列試劑中,有幾個可以做為親核(nucleophile)試劑? ① N
3
-
② HCl ③ CH
3
NH
2
④ CH
3
MgBr ⑤ C
6
H
5
OH (A) 1 個 (B) 2 個 (C) 3 個 (D) 4 個 (E) 5 個
35. 下列化合物中,何者在紫外光照射下與氯氣(Cl2)反應後只會生成一種產物? (A) 2,2-dimethylpropane (B) 2-methylpropane (C) butane (D) pentane (E) hexane
36. 下圖所示結構是哪一種分子或離子?
(A) carbine (B) acetylide anion (C) carbanion (D) carbocation (E) carboxylate
37. 下圖是 4,4-dimethylhex-1-yne 化合物的分子結構,若先在 THF(tetrahydrofuran)溶劑中與 BH3 反應,再與 H2O2反應後所得的產物為何?
(A)
(B)
(C)
(D)
(E)
38. 下圖所示之有機分子,請問編號①~④的氫原子在氫核磁共振光譜的化學位移之大小次序 為何?
(A) ① = ② < ③ < ④ (B) ④ < ③ < ② = ① (C) ④ = ③ < ② = ① (D) ① = ② < ④ < ③ (E) ③ < ④ < ② = ①
39. 下圖為某一醇類(alcohol)化合物的紅外光光譜圖,請問下列哪一個吸收信號是醇的 C-O 伸 縮(stretching)振動的信號?
(A) 1 (B) 2 (C) 3 (D) 4 (E) 5
40. 下列化合物中,具有芳香性(aromatic)的有幾個?
(A) 1 個 (B) 2 個 (C) 3 個 (D) 4 個 (E) 5 個
41. 下圖是某一個含有醛基(aldehyde)化合物的氫核磁共振光譜,請問哪一組信號可證明此化 合物是含有醛基?
(A) 1 (B) 2 (C) 3 (D) 4 (E) 5
42. 有關羰基(carbonyl)官能基的描述,下列何者錯誤? (A) 碳原子為 sp
2
混成軌域 (B) carbonyl 官能基是平面形狀 (C) carbonyl 碳原子具有親電子性(electrophilic) (D) carbonyl 氧原子具有親核性(nucleophilic) (E) C=O 鍵是一種強離子鍵
43. 依照奈米材料定義為尺寸介於 1~100 奈米之材料,請問下列屬於奈米材料有幾個? ① ferrocene ② quantum dot ③ 5-nonanone ④ C
60
⑤ carbon nanotube
(A) 1 個 (B) 2 個 (C) 3 個 (D) 4 個 (E) 5 個
44. 若要得到有關奈米材料尺寸的資訊,可以利用下列哪幾個原理或儀器? ① NMR ② FT-IR ③ UV-Vis ④ 動態光散射 (dynamic light scattering) ⑤ AFM (A) ①②③④⑤ (B) ②③④⑤ (C) ①②③④ (D) ①③④⑤ (E) ①②③⑤
45. 根據國際純化學與應用化學聯盟(IUPAC)的系統命名規則,下圖化合物的正確命名為何?
(A) 4,7-diethyl-2,2,8,9-tetramethyloctane (B) 4,7-diethyl-2,2,8,9-tetramethyldecane (C) 4,7-diethyl-2,2,8,9-tetramethyldodecane (D) 2,5-diethyl-6,7-dimethyl-1-methyloctane (E) 2,5-diethyl-6,7-dimethyl-1-methyldodecane
46. 下列化學反應何者錯誤?
(A)
(B)
(C)
(D)
(E)
47. 下列化學反應的主要產物為何?
(A)
(B)
(C)
(D)
(E)
48. 下列化學反應的主要最終產物為何?
(A)
(B)
(C)
(D)
(E)
49. 下列有機化合物的圖譜中,哪一個是由於電子從π軌域躍遷(transitions)到π
*
軌域所造成?
(A)
(B)
(C)
(D)
(E)
50. 下圖所示之有機分子,若只考慮化學位移而不考慮偶合分裂,請問其氫核磁共振光譜會得 到幾組訊號?
(A) 2 (B) 3 (C) 4 (D) 5 (E) 6
申論題 (0)
相關試卷
115年 - 115 義守大學_學士後中醫學系入學招生考試:化學 (含普通化學、有機化學)#138215
115年 · #138215
114年 - 114 慈濟大學_學士後中醫學系招生考試試題:化學科#126734
114年 · #126734
114年 - 114 義守大學_學士後中醫學系入學招生考試試題:化學 (含普通化學、有機化學)#126420
114年 · #126420
114年 - 114 中國醫藥大學_學士後中醫學系入學招生考試:化學#126227
114年 · #126227
113年 - 113 中國醫藥大學_學士後中醫學系入學招生考試試題:化學#121562
113年 · #121562
113年 - 113 慈濟大學_學士後中醫學系招生考試試題:化學科#119521
113年 · #119521
113年 - 113 義守大學_學士後中醫學系入學招生考試試題:化學 (含普通化學、有機化學)#119296
113年 · #119296
112年 - 112 慈濟大學_學士後中醫學系招生考試:化學#114232
112年 · #114232
112年 - 112 中國醫藥大學_學士後中醫學系入學招生考試試題:化學#114106
112年 · #114106
112年 - 112 義守大學_士後中醫學系入學招生考試試題:化學 (含普通化學、有機化學)#113712
112年 · #113712