阿摩線上測驗
登入
首頁
>
原子物理
> 102年 - 102 公務升官等考試_薦任_原子能:原子物理#39936
102年 - 102 公務升官等考試_薦任_原子能:原子物理#39936
科目:
原子物理 |
年份:
102年 |
選擇題數:
0 |
申論題數:
6
試卷資訊
所屬科目:
原子物理
選擇題 (0)
申論題 (6)
⑴請解釋為何電子脫離金屬表面需克服束縛能並敘述光電效應。(10 分)
⑵當以紫外光照射鈉金屬表面時,發現欲使一個束縛電子脫離鈉金屬表面,入射光 子頻率至少為 5.6×10
14
赫茲(Hz)。試計算,當以頻率為 6.2×10
14
赫茲的紫外光 照射鈉金屬表面時,光電子動能的可能值範圍。(15 分)
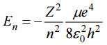
【已刪除】⑴假設一單電子原子系統的原子核質量為 M,原子序為 Z。依據玻爾的原子模型, 考慮原子核的有限質量效應,推導此單電子原子系統的能量量子化公式:
其中E
n
為主量子數為n 之能量量子態的能量,μ = m
0
M /(m
0
+M)為約化質量。(10 分)
⑵自然狀態的氫元素有三種同位素,即氫原子(
1
H),重氫原子(氘、
2
H),及超 重氫原子(氚、
3
H)。其中,氫原子核為一個質子(proton),重氫原子核為一 個質子加上一個中子(neutron),超重氫原子核為一個質子加上二個中子。實驗得 知氫原子與氘原子的 H
α
線光波長分別為 6561.01 埃(Å)與 6562.80 埃,試計算 氫原子與氘原子的質量比,已知質子質量為 1836 倍電子質量。(15 分)(H
α
線係 指單電子原子系統從主量子數為 3 的能階躍遷至主量子數為 2 的能階時的輻射光)
三、考慮一邊長為 L=1 奈米(nm)的三維正立體方盒,假設此方盒的盒壁為完全無法 穿透(位能障礙無限大)。如果我們把 15 個電子置入此盒子,完全忽略電子彼此 之間的交互作用,則當此系統處於能量基態時(所有較低能階皆為填滿),具有最 大能量的電子能量為何(10 分)?此系統的基態能量又為何(15 分)?
四、每一個
235
U 原子經由核分裂可釋放 200 百萬電子伏特(MeV)的能量。有一核子反 應爐,其運作是以
235
U 為原料的核分裂反應,發電功率為 500 百萬瓦特(MW), 其運作熱效率為 20%。試計算此核子反應爐運作一年,需儲備多少質量之
235
U? (25 分)(一莫耳(mole)約為 6.02214×10
23
個。)
相關試卷
111年 - 111 高等考試_三級_核子工程:原子物理#109660
111年 · #109660
110年 - 110 公務升官等考試_薦任_原子能:原子物理#103466
110年 · #103466
108年 - 108 高等考試_三級_核子工程:原子物理#77870
108年 · #77870
107年 - 107 高等考試_三級_核子工程:原子物理#71187
107年 · #71187
106年 - 106 高等考試_三級_核子工程:原子物理#63443
106年 · #63443
104年 - 104 高等考試_三級_核子工程:原子物理#39580
104年 · #39580
103年 - 103 高等考試_三級_核子工程:原子物理#39824
103年 · #39824
102年 - 102 高等考試_三級_核子工程:原子物理#39946
102年 · #39946
101年 - 101 高等考試_三級_核子工程:原子物理#39996
101年 · #39996
100年 - 100 公務升官等考試_薦任_原子能:原子物理#40101
100年 · #40101