所屬科目:研究所、轉學考(插大)-微積分
1. (15 points) Let 1 +exy = y2+x. Find in terms of n and y.
2. (15 points) Determine whether the series converges or diverges.
3. (15 points) Evaluate
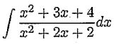
6. (20 points) Evaluate the integral
where C is the the right triangle with vertices (0,0), (0,2), and (1,0).