所屬科目:研究所、轉學考(插大)-微積分
1.
2.
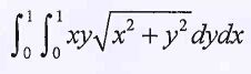
1. (8%)
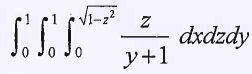
2. (8%)
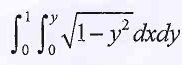
3.(8%)
4. (8%)
1. (8%).
E. Find the sum of the series .(10%)
F. Evaluate the integral for by making an appropriate change of variables, where R is the rectangle enclosed by the lines x-y=0, x-y=2, x+y=0,and x+y=3.(10%)