所屬科目:奧林匹亞數學
一、 (7分) 已知 O 是 正 4ABC 內一點, 滿足 ∠AOB : ∠BOC : ∠COA = 6 : 5 : 4. 現在以邊長 a = , b =, c = 做成一個新的三角形, 而此三角形邊 a, b 與 c 的對頂角分別為 α, β 與 γ. 則 α : β : γ = 1 : 2 : 3 . (化成最簡整數比。)
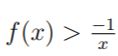
二、 (7分) 令函數 f 為正實數映射到實數, 且滿足下列條件:
(i) f 是嚴格遞增函數;
(ii) 對任意的正實數 x, 滿足不等式
(iii) 對所有的正實數 x, 滿足等式 = 1. 依照以上條件 f(2) = . (化成最簡分數。)
三、 (7分) 整數的數列 (a1, a2, . . .) 滿足下列關係式: , 對所有 n ≥ 3. 如果已知 a560 = 560 且 a1600 = 1600, 則 a2013 是 8 位數字; 而且 a2013 的個位數 字是 9 , 十位數字是 10 . (註: lcm(a, b) 與 gcd(a, b) 分別是 a, b 兩數字的最小公倍數與最大公因數。)