所屬科目:研究所、轉學考(插大)-微積分
1.(10 points) Calculate dx
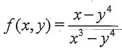
3.(10 points) Determine whether or not f(x,y) has a limit at (1,1)
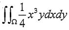
4.(20 points) Let Ω be the first-quadrant rregion bounded by the curves:
x2+y2=4,x2+y2=16,x2-y2=1,x2-y2=4Evaluate
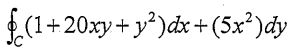
5.(20 points) Evaluate the line integral
where C is the oriented counter clockwise square with vertices (0,0) (1,0) (1,1) (0,1)