所屬科目:研究所、轉學考(插大)-微積分
(a) (6 points)
(b) (6 points)
(c) (6 points)
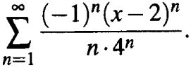
4. (10 points) Find the convergence set of
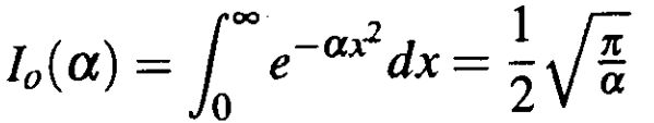
5. (10 points) Gauss' probability integral isEvaluate
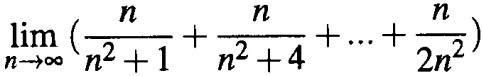
7. (10 points) Evaluate
8. (10 points) Evaluate ∫∫R xy dA , where R is the region bounded by and y=0, by converting to Polar Coordinates.
9. (10 points) A certain gas satisfies the law where p=presure, V=volume, and T=temperature. Calculate and at the point where p=V=1 and T=2.