阿摩線上測驗
登入
首頁
>
研究所、轉學考(插大)-微積分
>
103年 - 103 國立成功大學轉學生招生考試試題_微積分_(商管系所聯招)#113208
> 申論題
題組內容
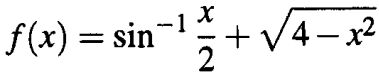
2. (10 points) Let
, for each x ∈
[-2,2]
(a) (5 points) Find
f'
(x)
相關申論題
(a) (6 points)
#483635
(b) (6 points)
#483636
(c) (6 points)
#483637
(b) (5 points) Find extreme values of f (x)
#483639
(a) (6 points)
#483640
(b) (6 points)
#483641
4. (10 points) Find the convergence set of
#483642
5. (10 points) Gauss' probability integral isEvaluate
#483643
6. (10 points) Determine and classify the stationary points of the function f(x,y)=xy+(x-y)3.
#483644
7. (10 points) Evaluate
#483645
相關試卷
114年 - 114 臺灣綜合大學系統_學士班轉學生考試試題:微積分A#137897
114年 · #137897
114年 - 114 臺灣綜合大學系統_學士班轉學生考試試題:微積分B#137819
114年 · #137819
114年 - 114 台灣聯合大學系統_學士班轉學生考試試題:微積分#137762
114年 · #137762
114年 - 114 台灣聯合大學系統_學士班轉學生考試試題:微積分#137761
114年 · #137761
114年 - 114 國立臺灣大學_轉學生招生考試_物理學系/土木工程學系/生物環境系統工程學系/生物機電工程學系:微積分(B)#137745
114年 · #137745
114年 - 114 國立臺灣大學_轉學生招生考試_數學系:微積分(A)#137744
114年 · #137744
113年 - 113 國立嘉義大學_轉學生招生考試試題_(全校):微積分#122986
113年 · #122986
112年 - 112 國立臺灣大學_碩士班招生考試題:微積分(D)#130254
112年 · #130254
112年 - 112 國立陽明交通大學_碩士班入學招生試題_統計學研究所﹕微積分與線性代數#130252
112年 · #130252
112年 - 112 國立嘉義大學_轉學生招生考試試題:微積分#123297
112年 · #123297