阿摩線上測驗
登入
首頁
>
研究所、轉學考(插大)-微積分
> 103年 - 103 國立暨南國際大學_轉學生入學考試試題_資工系二、土木系二、應化系二、電機系二、應光系二:微積分#123440
103年 - 103 國立暨南國際大學_轉學生入學考試試題_資工系二、土木系二、應化系二、電機系二、應光系二:微積分#123440
科目:
研究所、轉學考(插大)-微積分 |
年份:
103年 |
選擇題數:
0 |
申論題數:
12
試卷資訊
所屬科目:
研究所、轉學考(插大)-微積分
選擇題 (0)
申論題 (12)
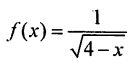
(a) (5%) Sketch the graph of the function f(x).
(b) (5%) According to the Definition A, show that f '(x) =
.
(c) (5%) Find the tangent line that passes through the point (2, 1/2) with slope f'(2).
2. (10%) Does there exist a differentiable function f that satisfies f(0) = 2, f(2) = 5, and f'(x) ≤ 1 on (0, 2)? If not, why not?
(a) (10%) Then, the function F defined on [a, b] by F(x) =
f(t)dt is continuous on [a, b] and differentiable on (a, b). Prove that F'(x) = f(x) for all x in (a, b). Hint: F(x+h)-F(x)
f(x) × h if h is small enough. (圖示證明(pictorial proof)即可)
(b) (5%) Let F(x) =
(t-sin
2
t)dt, find F'(x).
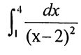
4. (10%) Evaluate the integral
sin x dx
5. (10%) Show that the improper integral
diverges.
6. (10%) Find the Maclaurin series for
and its radius of convergence.
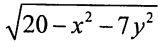
7. (10%) Let g(x, y) =
. Show that
g(x, y)does not exist.
8. (10%) Find the linear approximation of the function f(x, y) =
at (2, 1) and use it to approximate f(1.95,1.08).
9. (10%) Find the directional derivative of the function
f(x, y, z) = x cos y sin z at the point (1, π, π/4) in the direction of the vector 2i-j+4k.
相關試卷
114年 - 114 臺灣綜合大學系統_學士班轉學生考試試題:微積分A#137897
114年 · #137897
114年 - 114 臺灣綜合大學系統_學士班轉學生考試試題:微積分B#137819
114年 · #137819
114年 - 114 台灣聯合大學系統_學士班轉學生考試試題:微積分#137762
114年 · #137762
114年 - 114 台灣聯合大學系統_學士班轉學生考試試題:微積分#137761
114年 · #137761
114年 - 114 國立臺灣大學_轉學生招生考試_物理學系/土木工程學系/生物環境系統工程學系/生物機電工程學系:微積分(B)#137745
114年 · #137745
114年 - 114 國立臺灣大學_轉學生招生考試_數學系:微積分(A)#137744
114年 · #137744
113年 - 113 國立嘉義大學_轉學生招生考試試題_(全校):微積分#122986
113年 · #122986
112年 - 112 國立臺灣大學_碩士班招生考試題:微積分(D)#130254
112年 · #130254
112年 - 112 國立陽明交通大學_碩士班入學招生試題_統計學研究所﹕微積分與線性代數#130252
112年 · #130252
112年 - 112 國立嘉義大學_轉學生招生考試試題:微積分#123297
112年 · #123297